东北大学张廷安教授团队:铝土矿资源特征与分布
来源:矿冶集团信息研究中心 时间:2025/11/10 14:48:49

铝土矿作为铝工业链的起点,在铝工业中占据重要地位。中国作为铝土矿生产和消费大国,占据了全球市场大部分份额。然而我国铝土矿供应不足、矿石品位不高、开发难度大,矿石中伴生锂、镓、钪、钒等稀散稀土元素,加上在环保政策趋严、“双碳”目标的背景下,开发中低品位铝土矿绿色协同提取技术迫在眉睫。基于此,从全球视角下分析铝土矿资源现状、氧化铝提取传统工艺适配性,重点提出“氯化-拜耳法”、“钙化-碳化法”两种中低品位铝土矿绿色协同提取技术。从理论与实验角度加以印证,可实现铝资源及伴生元素协同高效利用,实现“零排放”清洁生产氧化铝,并对氧化铝产业的未来发展前景和方向进行展望。相关成果发表于矿冶期刊群《有色金属(冶炼部分)》2025年第11期,题目:铝土矿资源特征与分布。作者:张廷安,贺欣,吕国志。

1.jpg

扫码下载文章



1 背景

铝土矿,又称铝矾土,是以三水铝石(Al(OH)3)、软水铝石(γ-AlO(OH))或硬水铝石(α-AlO(OH))为主要矿物成分的矿石统称,在工业上具有重要应用价值。作为生产氧化铝及金属铝制品的关键原材料,铝土矿在中国及其他国家均被列为战略性矿产资源。铝因其质轻、良好的导电导热性能、高反射性及可回收性强等特点,成为低碳绿色经济转型的关键材料,广泛应用于国防军工及高新技术产业。铝土矿的稳定供应直接关系到国防科技的自主可控能力,其战略价值因此进一步凸显。作为铝工业链的起点,铝土矿的矿石品位直接影响后续生产工艺的经济性。铝土矿的供需动态与铝价波动及铝行业的整体发展密切相关。中国作为全球最大的铝生产和消费国,铝土矿的稳定供应对国家经济安全及工业基础的巩固具有重要意义。中国铝工业构建了以铝土矿、氧化铝、电解铝、铝加工材为核心的四大主产业全产业链布局(图1),其主产业产量稳居世界前列。

2.jpg

图1 铝产业链

经过二十余年的高速发展,中国铝产业目前已步入提质增效、绿色低碳智能化转型的关键阶段。然而,国内铝土矿传统矿区资源逐渐枯竭,且矿石类型以难处理的一水硬铝石为主,其铝硅比显著低于进口矿石,导致我国铝土矿资源的对外依存度居高不下,这迫切要求铝土矿资源向高值化利用方向转型。对此,中国政府积极鼓励企业加强低品位堆积型铝土矿和沉积型铝土矿的选冶技术攻关。在铝土矿加工过程中,会产生一种称为尾矿的固体废弃物,其主要成分包括氧化铝、铁和硅等。据统计,每生产1 t氧化铝,大约会产生1~1.5 t赤泥。截至2024年,中国赤泥的累计堆存量已达到14亿t,而全球范围内的赤泥堆存量则超过了40亿t。赤泥中含有一定比例的铁(14%~45%)、铝(5%~14%)、硅(1%~9%)、钛(2%~12%)、钠(1%~9%)以及稀土元素。目前,国内外学者对赤泥资源的研究主要集中在铁、钛和稀土元素的回收利用方面。除了主要的铝和硅成分外,铝土矿还伴生有镓、钛、钪、锂等多种有价组元。在响应轻量化发展趋势的背景下,“以铝代钢”“以铝节铜”“以铝节木”等应用不断推进,铝的使用领域持续拓展。在此形势下,开发低品位铝土矿资源、实现危废无害化处理以及综合提取铝土矿中的有价组元,已成为推动铝产业绿色发展的首要任务。

自“九五”国家重点科技攻关计划实施以来,我国学者对铝土矿选矿技术展开深入研究并取得显著成果。然而,当前铝土矿选矿仍面临诸多挑战,如浮选药剂成本高昂、固液分离技术难度较大、废水循环利用率较低等,复杂铝土矿的提质增效技术亟待优化完善。尽管诸如焙烧磁选-水冶法等先进技术已取得一定进展,但其工业化大规模应用尚未实现。此外,氧化铝生产过程中仍缺乏从源头阻断污染的清洁生产技术。本文通过综合分析全球铝土矿资源分布、开发利用现状,深入探讨了铝土矿开发过程中的现状及问题。并基于传统拜耳法生产流程,创新性地从铝土矿溶出过程的平衡固相结构入手,打破传统拜耳法中钠-铝-硅平衡结构,提出基于源头阻断的氧化铝清洁生产技术——氯化拜耳法与钙化-碳化法。这些方法既能实现低品位矿的经济有效利用,又能显著改善赤泥处理效率,对提升我国铝土矿资源绿色高值化开发水平和资源保障能力具有重要理论意义与实践价值。



1 铝土矿矿物结构特征

铝土矿主要由三水铝石、一水软铝石和一水硬铝石构成,依据其主要矿物成分,可划分为三水铝石型、一水软铝石型、一水硬铝石型以及多种混合类型,其中包括三水铝石-一水软铝石型、一水软铝石-一水硬铝石型等。铝土矿中氧化铝的含量存在较大差异,低者不足40%,高者则可超过70%。铝土矿的矿物结构特征对其物理化学性质具有显著影响。其中,一水硬铝石因矿物组成复杂,杂质矿相与一水硬铝石紧密镶嵌,难以分离,属于高铝、高硅、高溶出温度的难处理铝土矿。与一水硬铝石矿相比,三水铝石型铝土矿的层状结构使其在拜耳法溶出过程中展现出较高的反应活性,能够在相对温和的条件下实现良好的溶出效果。此外,铝土矿中常见的伴生杂质矿物,如铁、硅、钛等,其结构特征也会对铝土矿的加工过程及产品质量产生重要影响。深入探究铝土矿的矿物结构特征,对于优化工艺流程、提升资源利用率具有重要意义。然而,受地理条件限制,我国仅部分地区含有少量三水铝石矿,目前国内拜耳法生产过程中所使用的三水铝土矿大多依赖进口。表1及表2分别列出了不同地区铝土矿的化学组成及物相组成。

表1 不同地区铝土矿的化学组成

3.jpg

表2 不同地区铝土矿的物相组成

4.jpg



2 铝土矿资源的分布


2.1 全球铝土矿资源分布

全球铝土矿资源的分布具有显著的地域集中性,主要集中于赤道附近的热带和亚热带地区。根据美国地质调查局(USGS)的数据,2024年全球铝土矿资源量为550亿t ~750亿t,主要分布在非洲(占比32%)、大洋洲(占比23%)、南美洲和加勒比地区(占比21%)、亚洲(占比18%)以及其他地区(占比6%)。根据USGS的统计,全球铝土矿储量和年产量的数据显示,其静态可采年限超过64年。全球铝土矿储量约为290亿t,其中几内亚的储量最丰富,达到74亿t,其次是澳大利亚、越南、印度尼西亚和巴西。全球铝土矿资源储量高度集中,上述5个国家占全球总储量的67.24%。2024年全球铝土矿产量约为4.5亿t,几内亚(占比28.9%)、澳大利亚(占比22.2%)和中国(占比20.7%)的产量占全球总产量71%以上,其中几内亚超过澳大利亚,成为全球最大的铝土矿生产国。

全球铝土矿矿床根据基底岩性特征和矿物组成的不同,可分为红土型、岩溶型(喀斯特型)和沉积型(季赫温型)三大类。表3列出了全球铝土矿资源情况。根据国家地质矿产行业标准DZ/T 0202—2020,含铝矿物主要包括一水硬铝石、一水软铝石、三水铝石及刚玉(红土型铝土矿中偶见),并常伴有高岭石、蒙脱石、伊利石及鲕绿泥石等黏土矿物。

表3 全球铝土矿资源概况

5.jpg

近年来,铝土矿在全球工业化进程、绿色能源转型以及高端制造业发展中占据重要地位,其资源开发亦呈现出显著的全球化趋势,与此同时,却也遭遇多重严峻挑战。鉴于铝土矿资源分布的高度集中性以及资源国出口政策的频繁波动,铝土矿资源开发正逐渐趋向于供应格局的重构。以中国、俄罗斯为代表的消费大国,正积极通过海外投资布局(例如中国在几内亚、印尼的矿山建设项目),降低对传统供应国(如澳大利亚)的依赖程度,以此推动供应链的多元化重构。在“双碳”目标的宏观背景下,环保压力正从多维度持续升级,绿色开采模式应运而生。传统开采模式往往导致森林砍伐、水土流失以及生物多样性丧失等环境问题的产生。例如,澳大利亚已出台政策,要求矿山闭坑后植被恢复率需超过80%。力拓集团在昆士兰铝土矿项目中创新性地采用无人机播种技术,以加速生态修复进程。然而,随着浅层高品质矿藏资源的逐渐枯竭,选矿技术的研发以及中低品位铝土矿、尾矿资源的高效利用,正成为行业攻坚的重点领域。在拜耳法处理铝土矿的过程中,每处理1 t铝土矿,约产生0.5~1.5 t赤泥。赤泥的大规模排放与长期堆存,对生态环境以及人类健康构成了显著威胁。目前,全球赤泥的综合利用率不足10%,故而,赤泥的高效利用技术以及铝土矿危废减量化生产技术,亟待实现规模化突破。据相关数据显示,电解铝生产占全球碳排放量的1.1%。尽管氢能炼铝、碳捕获与封存(CCS)技术等低碳技术路径已崭露头角,但仍处于商业化的初期探索阶段,成本高昂已成为制约低碳转型技术推广的关键瓶颈。全球再生铝的占比已超过30%,随着回收体系的日益完善,再生铝产业的蓬勃发展可能在一定程度上挤压原生铝土矿的需求空间。以2024年为例,美国从各类废料中回收的铝总量约为360万t,其中约56%来源于铝加工制造业的边角料回收,44%则来自废旧铝产品的循环利用。从废料中回收的铝总量,相当于其国内表观消耗量的37%左右。

全球铝土矿资源的分布呈现出储量和产量持续增长的趋势。然而,资源开发正面临多重挑战,包括市场需求的结构性变化、环保压力的加剧以及品位的下降。这些挑战也催生了新的发展趋势,如技术创新、国际合作的深化以及循环经济的整合。


2.2 中国铝土矿资源现状

我国铝土矿储量约为6.8亿t,占世界储量的2.3%,居世界第7位。根据自然资源部统计数据,铝土矿资源分布较为集中,主要分布在广西(占比30%)、河南(占比24.4%)、贵州(占比24.1%)和山西(占比13.37%),四省区储量占全国总储量的92%。中国以全球2.3%的储量生产全球20.67%的铝土矿,按当年铝土矿产量0.93亿t计算,静态保障年限仅为7.3年,资源紧缺问题突出。

岩溶型铝土矿占中国铝土矿资源的90%以上,根据其时空分布特征,可划分为4种类型。其中,早石炭世铝土矿和晚石炭世铝土矿多为大中型矿床,主要分布于贵州中部以及山西、河南等省份;中二叠世铝土矿多为中小型矿床,具有高铁或高硫特征,主要位于四川、贵州等省份;晚二叠世铝土矿则多为小型矿床,主要分布在广西、云南等地。我国铝土矿以古风化沉积型为主,分布集中,矿山产能规模多在1000万t/a以下,规模相对较小。其主要矿物组成以一水硬铝石为主,常与耐火黏土、硫铁矿、灰岩、锐钛矿等组分共伴生,导致选冶加工难度较大,能耗较高。我国铝土矿的化学成分呈现“高硅、中低铝、含钛铁”的特征,氧化铝含量普遍为40%~75%,二氧化硅含量为4%~18%(铝硅比多在8以下),三氧化二铁含量普遍大于2%,二氧化钛以锐钛矿形式存在。根据矿石中铁和硫组分的含量,可将我国铝土矿划分为低铁低硫型、高硫型和高铁型三类。具体分类见表4。

表4 中国铝土矿矿石类型及分布(根据铁和硫组分含量)

6.jpg

我国铝土矿资源中普遍伴生有钒、锂、镓、钪、铌钽、稀土等稀有及稀散元素,展现出较高的综合回收潜力。具体而言,锂元素主要富集于鲕状和致密块状矿石中;钪元素则多集中于碎屑状矿石;镓元素在土状、鲕状矿石以及致密块状矿石中的含量相对较高;钛元素通常在岩石风化过程中得以保留,并伴随黏土和铝土矿碎屑的搬运逐渐富集。此外,镓和锂在浸出过程中易被水带走,并倾向于在矿层下部富集。正因如此,铝土矿层下部的土质以及蜂窝状矿石成为了锂和镓的富集区域。值得特别关注的是,我国晋中-晋东北、豫西、黔中-黔北和桂西等地区的铝土矿中锂元素超常富集,其品位甚至达到了独立锂矿床的边界标准,展现出巨大的潜在价值,可视为重要的潜在锂矿石资源。

在矿石开采技术层面,地下开采面临着诸多挑战,其操作难度大且效率低下。在国内,已经发展出多种地下开采方法,例如在山东地区主要采用长壁陷落法和短壁陷落法,而贵州地区则多采用分层崩落法或留矿法。然而,铝土矿顶板多由黏土类岩石构成,这类岩石易风化且稳定性差,为地下开采带来了诸多不确定性和挑战。特别是在煤层下的铝土矿,其与煤层的距离仅十余米至二十米,开采后容易出现老硐等安全隐患,这无疑增加了开采的难度和成本。对于地质条件复杂或矿体形态不规则的区域,传统开采方法的适应性较差。在开采过程中,自动化和信息化水平较低,导致矿石开采效率不高。由于开采技术和地质勘探技术的限制,许多具有价值的矿石无法得到有效回收。此外,矿石在开采过程中的过度破碎会导致资源在运输过程中的损失,同时开采时还伴有大量废石的混入,这会降低矿石的品位。随着矿山安全及环保政策的日益严格,铝土矿的开采政策也在逐步收紧。老旧设备的维护难以满足现代开采的需求,需要频繁更新,这进一步大幅增加了开采成本。

长期的开采活动致使高品位铝土矿资源濒临枯竭,而新近探明的资源多为低品位矿。叠加安全及环保政策的日益严格,铝土矿的开采政策相应收紧。在此形势下,我国铝土矿的资源保障能力面临不足,资源安全问题愈发凸显。中国铝土矿的供需形势正变得愈发严峻,铝土矿已然成为我国紧缺的大宗矿产资源之一,并被列入我国战略性矿产目录,图2海关总署调查的中国铝矿砂及其精矿进出口量情况。2019年,我国铝土矿进口量首次突破1亿t大关,较上一年度增长了21.5%;至2024年,我国铝土矿进口量更是创下了历史新高,达到1.59亿t,对外依存度随之增长至63%。自2018年起,我国自几内亚进口的铝土矿产量呈现不断上升趋势,几内亚因此成为中国最大的铝土矿进口来源国。在2024年,我国从几内亚进口了1.10亿t铝土矿,占比高达69.4%,其次为从澳大利亚进口,占比25.13%。其余进口国主要包括土耳其、老挝、巴西、加纳以及马来西亚。随着国内氧化铝产能的持续提升以及一系列环保政策的陆续出台,我国越来越多的氧化铝厂倾向于采用进口铝土矿,以此解决国内铝土矿品位较低或供应量不足的问题。因此,预计未来我国铝土矿的进口依存度将继续提高。与此同时,部分中国企业在储量丰富、矿石品位较高的几内亚和印尼等地,投资建设了多个铝土矿矿山。例如,中国铝业在几内亚建设了博法铝土矿项目。

7.jpg

图2 2018—2024年中国铝矿砂及其精矿进口数量及年增长率

当前,中国正加快推动铝土矿资源的增储上产,通过新一轮找矿突破战略行动,新增一批可供开发的铝土矿资源,并鼓励低品位铝土矿和高硫铝土矿的开发利用技术攻关,到2027年,原料保障方面力争国内铝土矿资源量增长3%~5%。


2.3 其它铝土矿资源-战略可持续铝资源

除传统铝土矿外,高铝粉煤灰、霞石等二次资源或替代资源的开发,可为缓解我国铝资源短缺提供新路径。

2.3.1 高铝粉煤灰

粉煤灰是煤炭燃烧后产生的固体废弃物,其主要化学组成包括二氧化硅、氧化铝、氧化铁等无机成分,具体含量受煤质和燃烧条件影响而有所不同。在内蒙古中西部、山西北部等地区,煤炭资源富含铝质矿物,燃烧后产生的粉煤灰氧化铝含量可达40%~50%,这类粉煤灰被称为高铝粉煤灰。随着大型能源基地的快速崛起,在推动经济快速发展的同时,也导致了大量高铝粉煤灰的产生。目前,每年高铝粉煤灰的排放量超过5000万t,累计存量已超过3亿t。从环境角度来看,粉煤灰的大规模堆存不仅占用了大量土地资源,还可能对土壤、水源和大气造成严重污染,进而危害人类健康。然而,从资源循环利用的角度分析,高铝粉煤灰中氧化铝含量为38%~50%,二氧化硅与氧化铁也是其主要成分,三者总占比超过80%,并且含有微量稀土金属,显示出其在资源综合利用方面的显著优势,堪称“城市矿产”资源。在全球铝土矿资源对外依存度不断攀升以及环保政策日益严格的双重背景下,市场对从高铝粉煤灰中回收氧化铝的技术寄予厚望,其市场需求正呈现出稳步增长的态势。当前,我国在高铝粉煤灰提取氧化铝技术领域已取得显著进展,处于国际领先地位。国内已经形成了多种技术路线,例如大唐集团采用的拜耳法与烧结法联合工艺、准能集团开发的一步酸溶法、蒙泰集团运用的碱酸联合法制备铝硅矿物-熔盐电共析还原法、汇能集团实施的矿热还原法生产硅铝合金以及蒙西集团采用的石灰石烧结法生产氧化铝等。其中,蒙西集团已成功建成国内首条年产能达到20万t的高铝粉煤灰提取氧化铝工业化生产线,实现了技术突破和规模化生产。然而,这些技术方法仍存在一些不足之处。高能耗和高酸耗导致生产成本居高不下,并可能引发环境污染问题。此外,大多数技术仅集中于氧化铝的提取,而忽视了粉煤灰中其他有价组分的回收利用,这意味着粉煤灰的综合利用率仍有很大的提升空间。

2.3.2 霞石

霞石是一种含铝和钠的硅酸盐矿物,因其独特的化学组成特性,从霞石中回收氧化铝不仅具有显著的经济价值,还具备重要的环保意义。当前,从霞石中提取氧化铝的主要技术包括碱法和酸法。碱法通过在高温高压条件下利用氢氧化钠溶液浸出霞石中的铝元素,并经由过滤、洗涤、沉淀等工序分离出氧化铝;而酸法则采用盐酸或硫酸等酸性溶液在适宜条件下溶解霞石,随后借助分离与提纯工艺获取氧化铝。然而,现有技术存在较高的能耗与成本问题。碱法需大量消耗氢氧化钠,并可能产生含有有毒有害物质的废水;酸法同样面临酸液回收效率低和废水处理难度大的挑战。此外,霞石的硬度及化学稳定性对破碎和活化技术提出了更高要求,进一步增加了工艺的复杂性和经济成本。鉴于此,未来的研究应聚焦于开发更加高效且环境友好的霞石提取氧化铝技术,并探索提升霞石中其他有价组分的回收利用率,以实现资源的综合利用与可持续发展。

2.3.3 明矾石

明矾石是一种富含铝元素的硫酸盐矿物,其主要成分包含硫酸铝钾(KAl(SO₄)₂·12H₂O)和硫酸铝(Al₂(SO₄)₃),氧化铝含量为15%~20%。在我国,明矾石资源在贵州、湖南等地储量丰富,具有重要的开发潜力。目前,从明矾石中提取氧化铝的技术主要分为碱法和酸法。碱法通过氢氧化钠溶液浸出铝离子,再经过沉淀和煅烧步骤获得氧化铝;酸法则是利用盐酸或硫酸溶解明矾石,随后通过提纯工艺提取氧化铝。然而,现有提取工艺存在显著的能耗和环境问题。碱法需要大量氢氧化钠,这不仅增加了生产成本,还导致废液处理复杂;而酸法则面临酸液回收效率低和废水处理难度大的挑战。此外,明矾石中的有价组分如钾和硫酸根未能得到充分回收,资源利用率偏低。未来的研究方向应聚焦于开发更加高效和环保的提取工艺,同时探索多组分综合回收技术,以实现明矾石资源的高效利用和可持续发展。这不仅有助于提高资源综合利用效率,还能减少对环境的负面影响,推动相关产业的绿色转型。



3 氧化铝生产技术进展


3.1 现有工艺及存在问题

3.1.1 拜耳法(Bayer Process)

拜耳法是氧化铝工业生产中最为主流的工艺,其产量约占全球氧化铝总产量的95%。该工艺由奥地利化学家K. J. Bayer于1888年发明。矿石经破碎后与循环母液按特定比例混合,形成的矿浆依次经过高压溶出、赤泥沉降及洗涤分离等工序,最终得到精制铝酸钠溶液。向溶液中加入氢氧化铝晶种进行分解,随后通过煅烧制得氧化铝。对于三水铝石型铝土矿,可在较低温度(140~145 ℃)及较低碱浓度(120~140 g/L)条件下实现高效溶出;而针对一水铝石型铝土矿,则需要采用高温高压条件进行溶出。拜耳法生产氧化铝过程中的主要化学反应如式(1)及式(2)所示。

溶出过程:

8.jpg

种分过程:

9.jpg

随着现代技术的不断进步,生产过程中已逐步采用管道溶出器替代传统的高压釜,从而有效降低了结疤风险;同时,借助在线监测泥层厚度、苛性比等关键参数,实现了对生产过程的优化。在拜耳法工艺流程中,稀散金属会发生显著富集现象:钪和钛主要富集于铝土矿渣中,赤泥中钪的含量为54~120 mg/kg,钛的含量则在0.98%~5.34%。在拜耳法溶出过程中,铝土矿中的镓和锂会进入铝酸钠溶液,镓的含量为60~120 g/t,锂的含量在1.5%~4.9%范围内。经过晶种分解析出氢氧化铝之后,这些金属元素将返回消解过程进行回收。

拜耳法适用于处理低硅铝土矿。在溶出过程中,SiO2会生成水合铝硅酸钠并随赤泥排出,导致Al2O3和NaOH的损失。当铝硅比(A/S)≥8时,可直接采用传统拜耳法,这种方法碱耗低且氧化铝回收率高;对于5≤A/S<8的铝土矿,则需要进行选矿或添加石灰等预处理以提高有效A/S。然而,矿石的预处理过程会增加整个工艺的生产成本。例如,浮选选矿过程中会产生大量的尾矿,造成资源浪费;化学选矿中的脱硅步骤面临着溶液回收困难的问题;而生物脱硅的方法则存在效率不稳定的情况。此外,添加过量石灰虽然可以降低碱的消耗,但却会增加固废分离的负担,同时母液还需要额外的苛化处理步骤。拜耳法所需的高温高压条件要求设备必须使用耐腐蚀的合金材质,从而导致初始投资和日常维护成本的增加。最后,赤泥中含有附碱和重金属成分,其大量堆存不仅会造成环境污染,还会导致资源的浪费。

3.1.2 烧结法(Sintering Process)

烧结法是一种处理含杂质较多的铝土矿(如铁、钛、硅等)的工艺,对铝硅比较低的高硅铝土矿(3≤A/S≤6),具有经济优势。该工艺将铝土矿、助熔剂(石灰或石灰石)与纯碱按比例混合成炉料,在回转窑或沸腾炉内于1200~1400 ℃下进行高温烧结。烧结产物经水或稀碱溶液溶出后,分离出硅渣,再利用二氧化碳分解铝酸钠溶液,析出氢氧化铝,经焙烧得到氧化铝。尽管烧结法能有效去除杂质、提高氧化铝纯度,但其工艺流程相对复杂,产品质量较拜耳法低。此外,烧结法能耗较高,通常在30 GJ/t-Al2O3以上,约为拜耳法能耗的2.5倍,其中烧结工序能耗占总能耗的75%。在生料配制中,大量配入的CaO降低了熟料中氧化铝含量,增加了物料流量,降低了有效产能。同时,配入的石灰经烧结溶出后几乎全部进入赤泥,导致每生产1 t氧化铝会产生1.5~2.1 t甚至更多的赤泥。

3.1.3 联合法(Combined Bayer-Sinter Process)

联合法融合了拜耳法和烧结法的优势,适用于处理A/S=7~9的中低品位复杂铝土矿,主要分为并联法、串联法和混联法。并联法可同时处理高、低品位铝土矿,低品位矿用拜耳法,高品位矿用烧结法,两种方法的溶液经晶种分解提取氧化铝。串联法用于处理中等品位和低品位三水铝石型铝土矿,先拜耳法提取大部分氧化铝,再烧结法处理赤泥,将所得铝酸钠溶液与拜耳法溶出液混合后进行晶种分解。混联法在串联法基础上,添加低品位矿石与赤泥烧结,提升熟料铝硅比并扩大烧结温度范围。联合法在资源利用率和经济性上优势显著,但需同时运行两套系统,且工序间强耦合。串联法中烧结系统需适应拜耳法赤泥成分,限制烧结温度和配料比例;混联法需平衡赤泥与低品位矿石比例,可能影响烧结效率。


3.2 基于矿相重构的氧化铝新技术

为了提升低品位铝土矿和高硫铝土矿的开发利用效率,工业和信息化部等十部门联合发布了《铝产业高质量发展实施方案(2025—2027年)》。该方案前瞻性地提出鼓励对低品位铝土矿和高硫铝土矿开发利用技术进行攻关,支持矿产资源的综合利用,并加强伴生资源的评价与回收利用等措施,以强化资源保障的基础。在此背景下,东北大学特殊冶金过程与工程团队创新性地提出了氯化-拜耳法和钙化-碳化法这两种新方法。这两种方法能够高效且无害化地提取低品位铝土矿中的有价组元,显著提高了铝土矿资源的综合利用率,为铝产业的高质量发展提供了有力的技术支持。

3.2.1 氯化-拜耳法(Chlorination-Bayer Method)

针对拜耳法处理铝土矿时面临的矿石品位要求高、含碱赤泥大量排放以及稀散金属难以利用等技术难题,同时为突破氯化铝难以直接氧化转化为冶金级氧化铝的瓶颈,东北大学特殊冶金过程与工程研究所提出了一种创新的“氯化-拜耳法”生产工艺,用于生产冶金级氧化铝。该工艺路线如图3所示。

10.jpg

图3 “氯化-拜耳法”生产冶金级氧化铝工艺路线图

铝土矿氯化-拜耳法是一种创新的冶金级氧化铝生产工艺,其操作流程依次包括矿石预处理、氯化反应、元素分离、氧化铝制备和最终产品处理等关键环节。具体而言,首先将铝土矿与黏结剂及碳源(如焦煤、石油焦等)均匀混合,随后通过造球机制成球团。这些球团被送入竖式管式电阻炉,在氯气氛围下进行氯化反应。借助铝、硅和稀散金属氯化物的熔沸点差异,实现高效的元素分离。分离精制后的氯化铝经气相氧化,转化为轻质结构的氧化铝。最终,通过碱溶分解该轻质氧化铝,得到砂状结构的冶金级氧化铝产品。铝土矿氯化-拜耳法的三个核心环节(铝土矿氯化、氯化铝氧化和碱溶分解)的主要反应如下。

1)铝土矿氯化过程

11.jpg

2)氯化铝氧化过程

12.jpg

3)碱溶分解过程

溶出反应:

13.jpg

晶种分解:

14.jpg

“氯化-拜耳法”处理低品位铝土矿的研究中,ZHAO等运用球团氯化法,对主要由一水硬铝石和高岭石等矿物相组成的铝土矿进行了处理。经氯化冷凝工序后,氧化铝及稀散金属的氯化率可达95%左右。依据氯化物熔沸点的差异,此方法能够实现铝土矿中有价元素的高效提取与分离。程天浩则从气体总压、氧分压和反应温度这三个关键参数出发,对熔融氯化铝与氧气的反应过程进行了深入研究。研究确定了最佳工艺条件:气体总压3 MPa、氧分压占比20%、反应温度220 ℃、反应时间10 min。在这些条件下,无水氯化铝的转化率可达53.54%。所获得的α-Al2O3是由棒状小颗粒连接形成的较大颗粒,纯度高达99.77%。

3.2.2 钙化-碳化法(Calcification-Carbonation Method)

为了解决拜耳法生产氧化铝时存在对铝硅比的要求和排放大量碱性赤泥的问题,作者团队从溶出过程平衡固相入手,提出了“矿相重构”的概念,并据此开发出“钙化-碳化法”以处理中低品位铝土矿,实现了氧化铝的零排放清洁生产,相关技术路线图见图4。

15.jpg

图4 “钙化-碳化法”处理中低品位铝土矿技术路线图

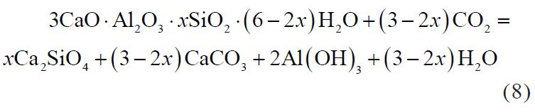
在“钙化-碳化法”处理中低品位铝土矿的过程中,首先需在溶出阶段添加适量氧化钙,促使硅元素完全转化为水化石榴石相,从而实现溶出平衡相的无碱化转变。继而,向钙化转型后的渣料中通入二氧化碳,使水化石榴石完成碳化分解。随后,通过低温溶出工序回收碳化渣中的氢氧化铝,并将其回输至生产体系,最终生成主要成分为2CaO·SiO₂和CaCO₃的新型结构赤泥。依据赤泥中铁元素的含量,对其进行适度的提铁处理,使其能够直接应用于土壤改良或作为建筑材料原料。“钙化-碳化法”涵盖的三个核心工序——钙化转型、碳化分解以及溶铝过程,其具体反应如下。

1)钙化过程

16.jpg

2)碳化过程

17.jpg

3)溶铝过程

18.jpg

在对复杂矿石及赤泥采用“钙化-碳化法”进行处理的相关研究中,朱小峰等针对三水铝石型铝土矿开展了深入的试验探究。该研究经二次碳化处理后,所获新型赤泥的铝硅比降至0.82,氧化铝的提取率高达81.2%,而渣中Na2O的含量仅余0.57%。与传统拜耳法相对比,在处理同等品位的铝土矿时,拜耳法氧化铝的理论最大溶出率仅为77.1%,且残渣中Na2O的含量仍高达约10%,“钙化-碳化法”在这些关键指标上展现出了显著的优势。此外,郭芳芳分别针对三水铝石赤泥和一水硬铝石赤泥开展了系统的钙化-碳化处理实验。经多级碳化分解与溶铝循环后,这两种赤泥的铝硅比分别大幅降至0.22和0.68,钠碱质量分数也分别降低至0.175%和0.50%。在对钙化-碳化过程的深入机理探究方面,王艳秀研究了其中有价组元平衡相组织的演变规律以及脱碱和提铝过程的行为特征。同时,郭勇和陈永超分别对伊利石和高岭石在钙化-碳化反应中的转型行为进行了深入分析。通过“钙化-碳化”转型过程,拜耳法赤泥的平衡固相从传统的水合铝硅酸钠转变为以硅酸钙和碳酸钙为主要成分的新型结构赤泥。在处理铝硅比为3~4.5的低品位铝土矿时,“钙化-碳化法”使氧化铝的总体回收率较传统拜耳法提高了约20%,同时碱耗降低了约90%。该技术具有工艺流程简洁、设备要求简单、运行成本低廉等优势。除需增加碳化反应器外,其余环节均可采用氧化铝生产的常规设备,工业化应用难度低。此外,经过“钙化-碳化”转型处理后,矿物中的铁元素能够实现高效解离,为后续铁资源的回收利用创造了有利条件。

基于矿相重构理论的“氯化-拜耳法”及“钙化-碳化法”为低品位铝土矿的高效提取提供了一种创新且有效的技术解决方案。表5为现有拜耳法与钙化碳化法和氯化-拜耳法处理铝土矿技术与成本对比,可以看出,“钙化-碳化法”和“氯化-拜耳法”在经济效益上较拜耳法显著降低。同时,“钙化-碳化法”不仅降低了赤泥中钠和铝的残留含量,从源头解决了赤泥的大规模、低成本无害化处理及资源化利用的难题。而“氯化-拜耳法”在制备冶金级氧化铝的同时,更是实现了多有价元素综合利用回收,大大的提高了矿石的综合利用率。

19.jpg

表5 拜耳法与“钙化-碳化法”和“氯化-拜耳法”处理铝土矿技术与成本对比



4 挑战与未来展望

面对资源、成本和环保的三重压力,中国氧化铝产业正寻求转型。低品位铝资源的选冶技术、伴生资源的综合利用及绿色循环生产模式成为未来发展关键。我国铝土矿品位低、矿区地质复杂,导致开采难度大、储量不足且对外依存度高,同时矿石伴生稀散金属。未来,行业将同时挖掘国内资源并依赖海外基地保供。中低品位铝土矿选矿富集和高效提取技术将成为研究热点。新能源汽车和光伏产业的发展推动了特种氧化铝的需求,促使行业向高附加值转型。随着“双碳”目标和环保政策的推进,氧化铝产业将通过技术创新实现绿色生产、赤泥减量化,并借助智能化、数字化技术及人工智能驱动生产革命,提高生产效率和能效。



成果亮点

铝土矿作为铝工业链的起点,在全球铝工业中占据至关重要的地位。本文从全球视角出发,深入剖析了铝土矿资源现状、氧化铝提取技术的适配性,并针对低品位铝土矿开发面临的资源、成本和环保多重压力,提出了“氯化-拜耳法”和“钙化-碳化法”这两种新型绿色协同提取技术。研究基于铝土矿的矿物结构特征和资源分布特征,创新性地从拜耳法工艺的固相平衡入手,通过打破传统工艺中钠-铝-硅的平衡结构,实现了铝土矿资源的高效利用和清洁生产。本文的研究成果为铝土矿资源的绿色高值化开发以及氧化铝产业的高质量发展和低碳转型提供了重要的理论基础与技术路径,对提升我国铝资源保障能力和资源综合利用水平具有重要的战略意义。



专家简介

20.jpg

张廷安,工学博士,东北大学二级教授,博士生导师。东北大学特殊件冶金与过程工程研究所所长、有色金属冶金过程技术教育部工程研究中心主任。第七届国务院学科评议组成员,国务院政府特殊津贴获得者,国际科学组织Vebleo协会会士(Vebleo Fellow),中国有色金属工业协会常务理事、中国有色金属学会名誉常务理事,中国有色金属冶金反应工程专委会首届主任委员。主要从事基于矿相重构的源头阻断与末端治理、特殊冶金/外场冶金、冶金反应工程学等研究。先后主持并完成863重点项目、973课题、国家自然科学基金重点项目和国际合作等项目30余项。获国家科技进步奖二等奖1项,省部级科技奖励一等奖10项、二等奖8项。获得国家优秀成果二等奖2项,省级教学成果奖3项。2005年以来申请国家和国际发明专利200余项,已授权国家发明专利147项,国际发明专利29件,获日内瓦国际发明展特别金奖、银奖等4项,中国专利优秀奖2项,国际镁科学与技术年度创新工艺奖1项,TMS优秀论文奖4篇。发表论文500多篇,论文他引2000多次,出版专著(教材)13部。

21.jpg

吕国志,工学博士,东北大学教授,2021年获批国家万人计划青年拔尖人才,现担任多金属共生矿生态化冶金教育部重点实验室副主任,在国内外学术期刊上发表100余篇SCI论文,出版学术专著4部,作为主要发明人申报及获批国家发明专利100余项,国际发明专利20项。获辽宁省科学进步一等奖、日内瓦国际发明博览会特别金奖、中国有色金属工业科学技术一等奖、中国有色金属优秀青年科技奖、邱定蕃有色冶金青年科技奖、全国冶金院长论坛青年科技奖,担任中国有色金属学会冶金反应工程委员会副秘书长、轻金属委员会委员、美国TMS学会轻金属委员会委员。

22.jpg

贺欣,东北大学博士研究生在读,研究方向为基于源头阻断的氧化铝清洁生产研究。




  • 行业动态

  • 成果展示