中南大学刘广义教授团队:浮选体系中微细粒矿物交互影响机理研究进展
来源:矿冶集团信息研究中心 时间:2025/11/12 14:42:03

随着高品位矿石日益枯竭和工业发展对金属需求的持续上升,微细粒矿物的有效浮选回收愈发重要。微细粒矿物具有粒径小、比表面积大和表面能高等特点。由于小粒径矿物在浮选矿浆中的动量较小,造成其难以克服与气泡之间能量势垒, 致使矿物颗粒难以黏附在气泡表面,导致浮选回收率低。大比表面积和高表面能则会增大浮选过程中的药剂消耗量,且易促使脉石矿物与目的矿物之间产生聚集、罩盖、夹带等现象,矿物间交互作用强烈,严重影响浮选的选择性,导致矿物间浮选分离困难、效率低。如何从微细粒矿物中有效浮选回收有用矿物是当前矿物加工领域的核心难题与攻关重点。因此,中南大学刘广义教授团队从颗粒间交互作用的基础理论、研究手段、聚集/分散主要驱动力和泡沫夹带四个方面综述了浮选体系中微细粒矿物之间的交互影响。以经典DLVO 理论及扩展DLVO理论为核心理论框架,综合原子力显微镜胶体探针测力技术、Zeta 电位分析、接触角测量、颗粒粒度分布检测及光学显微镜观测等多种表征方法,从静电作用与疏水作用两个维度,定量与定性相结合地阐释矿物颗粒聚集/分散行为的内在驱动力。旨在揭示浮选体系中颗粒间交互作用的选择性调控原理,为微细粒矿产资源的高效分离与回收提供坚实的理论依据及可行的策略。相关成果发表于矿冶期刊群《有色金属(选矿部分)》2025年第9期,题目:浮选体系中微细粒矿物交互影响机理研究进展。作者:祝辰宇,尉江,刘胜,陈伟,刘广义。

1.jpg

扫码下载文章



1 研究背景

随着高品位矿石日益枯竭和工业发展对金属需求的持续上升,实现微细粒矿物的高效浮选回收已成为选矿领域亟待解决的关键问题。由于微细粒矿物的质量轻、比表面积大、亲水性强,导致其在浮选矿浆中难以克服与气泡之间的能量势垒,从而降低了目的矿物颗粒黏附在气泡表面的可能性,同时质量轻的微细粒脉石更易被机械夹带至精矿中。此外,由于微细粒矿物的比表面积大、表面能高,致使颗粒间易产生非选择性团聚,从而使得微细粒矿物浮选分离具有极大的挑战性。微细粒钛铁矿浮选回收一直是全球性问题,由于其比表面积大、亲水性强,需要添加大量的捕收剂保证其可浮性,但这也造成大量捕收剂吸附于脉石矿物表面,使得微细粒钛铁矿与脉石矿物间产生明显的交互作用,造成其选择性浮选分离困难。而金红石由于其在原生矿石中嵌布粒度极细, 同样面临微细粒矿物难以被有效浮选回收的问题,例如四川会东微细粒金红石矿,其矿物组分复杂,金红石粒度极细且被脉石矿物包裹,导致其选别难度较大。同样,锡石由于其脆性和易碎性,在磨矿作业时常被过度粉碎并产生微细颗粒,此外,锡石也常与方解石、白云石、滑石等脉石矿物共伴生,部分脉石如方解石易在锡石表面发生包覆现象,从而严重影响锡石的浮选分离。微细粒矿物不仅恶化氧化矿的浮选回收,对硫化矿浮选分离也有较大影响。蛇纹石是硫化矿物中常见的脉石,因其硬度小,在碎磨过程中易被过度粉碎,产生的微细粒蛇纹石能在硫化矿物表面形成“矿泥罩盖”,从而抑制硫化矿物的浮选。

为改善微细粒矿物的浮选效果,科研人员提出了多种方法:例如通过添加抑制剂阻碍异相颗粒间的相互作用;借助大颗粒疏水载体捕获微细粒目的矿物;通过选择性絮凝目的矿物或脉石矿物,既可提升目的矿物的可浮性,也能减弱脉石矿物的机械夹带等。这些方法均通过选择性调控颗粒间的交互作用,进而强化微细粒矿物的浮选分离效果。因此,探究并精准分析影响微细粒矿物间交互作用的机制,对实现其有效浮选分离至关重要。



2 微细粒矿物间相互作用基础理论

只有准确分析颗粒间的作用力,才能精确调控颗粒间的相互作用,从而实现微细粒矿物的有效回收。DLVO理论是经典的胶体化学理论之一,常用来描述胶体间的相互作用,后被用来解释颗粒间的作用力。它是通过计算颗粒间的范德华力(FvdW) 和静电力(FEDL)来预测颗粒间的相互作用,即:

2.jpg

式中,FTFvdW 和FEDL 分别为DLVO总力、范德华作用力和静电作用力,N。

范德华相互作用由诱导作用、定向作用和色散作用组成。单个原子间的范德华作用力与原子间距离的六次方成反比,距离越远,衰减越快,是短程力作用。由于颗粒间的范德华作用是多个原子或分子间的集合作用,故假设颗粒间所有原子或分子间的作用具有加和性,便能计算不同形状颗粒间的范德华相互作用力。两个球形颗粒间的范德华力可用式(2)计算得出:

3.jpg

式中,A是颗粒1与颗粒2在水中的Hamaker常数, J,由式(3)计算获得;D是颗粒1 与颗粒2 间的距离,m;R1 和R2 分别是颗粒1 与颗粒2 的半径,m。

4.jpg

式中,A11A22 和A33 分别是颗粒1、颗粒2 和水在真空中的Hamaker 常数,J。

颗粒间的静电作用力随距离的变化即带电颗粒由无限远处接近到距离D处时体系作用力的变化。由于实际浮选体系中颗粒间的静电力较为复杂,需根据颗粒形状及作用形式的不同选择相应的计算公式。两个球形颗粒间恒表面电势的边界层条件下的静电双分子层作用力可由式(4)计算得出:

5.jpg

式中,D 是颗粒1 与颗粒2 间的距离,m;R1 和R2 分别是颗粒1 与颗粒2 的半径,m;ε 是溶液的介电常数,C2 · J -1 · m -1ε0 是真空中的介电常数, 8.854×10 -12 C2 · J -1 · m -1;1/κ 是Debye 长度,m;σ1 和σ2 分别是颗粒1 与颗粒2 的表面电势,V。

虽然经典的DLVO理论可以描述一些颗粒间的相互作用,但实际浮选中存在大量的浮选剂,这会造成颗粒间产生非DLVO力。研究发现,由于亲水颗粒间的水化斥力、疏水颗粒间的疏水力、大分子化合物产生的空间斥力以及磁性颗粒间的磁力,使经典的DLVO理论不能完美解释颗粒间的相互作用,因此提出了扩展DLVO理论,由式(5)计算得出:

6.jpg

式中,FETFvdWFEDLFHRHHBHSR 和HMA 分别为扩展DLVO总力、范德华作用力、静电作用力、水化相互作用排斥力、疏水相互作用吸引力、空间稳定化作用力和磁吸引力,N。

为了用扩展DLVO理论分析浮选体系中颗粒间的相互作用,需要计算体系中颗粒间可能存在的相互作用力,主要为水化力和疏水力。空间稳定化作用力和磁吸引力由体系的性质决定,如有这两种作用力时,则需要额外计算。

对于亲水体系:

7.jpg


对于疏水体系:

8.jpg


两个球形颗粒间的疏水力可由式(8)计算得出:

9.jpg


式中,R1 和R2 分别是颗粒1 与颗粒2 的半径,m; D是颗粒1 与颗粒2 间的距离,m;D0 是疏水相互作用力的衰减长度,m;C 是疏水作用常数,N · m -1



3 微细粒矿物间相互作用研究方法


3.1 矿物AFM胶体探针测力

原子力显微镜(AFM)是一种高分辨率的扫描探针显微镜,能够在纳米尺度上表征相互作用力(如范德华力和静电力等)。其工作原理为:安装于柔性悬臂末端的纳米级尖锐探针在样品表面扫描时,相互作用力(如范德华力和静电力等)导致悬臂偏转。通过激光反射检测系统实时测量偏转量,结合压电扫描器的精确控制,能够精准检测微小作用力,这一能力在微观力学研究领域具有不可替代的应用价值。

随着AFM测力技术的发展,科研人员开发出了多种改性探针用以测量相互作用力。例如,通过试剂改性探针获得特定官能团功能化探针用以测量官能团与不同表面间的相互作用;通过疏水探针黏附气泡制备气泡探针,可用于测量气泡与不同表面间的相互作用;通过探针黏附固体颗粒制备颗粒胶体探针,可用于测量颗粒与不同表面间的相互作用。这几种探针技术的应用,对准确测量微细粒颗粒间的相互作用具有重要意义。

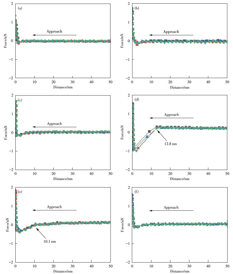
YU等通过氟碳铈矿AFM胶体探针研究了辛基羟肟酸(OHA)作用前后,氟碳铈矿颗粒与氟碳铈矿、方解石和石英表面的相互作用力。图1 为氟碳铈矿AFM胶体探针的光学显微镜图片,图2、3 为OHA作用前后,探针在接近/离开过程中与矿物表面的相互作用力。在OHA作用前,探针接近过程中,氟碳铈矿与氟碳铈矿、方解石和石英表面间均无明显的相互作用力,探针离开过程中,氟碳铈矿与氟碳铈矿、方解石和石英表面间的黏附力分别为1.01、0.54 和0.63 nN。 在OHA作用后,探针接近过程中,氟碳铈矿与氟碳铈矿和方解石间出现了“跃进接触”现象,“跃进接触” 距离分别为12.8、10.1 nm,与石英间仍无明显作用力,探针离开过程中,氟碳铈矿与氟碳铈矿、方解石和石英表面间的黏附力分别为5.48、1.21、0.60 nN。试验结果表明,在吸附OHA后,氟碳铈矿与方解石间产生了较强的疏水吸引力,致使氟碳铈矿与方解石间形成异相团聚体。由于氟碳铈矿的疏水性强于方解石, 团聚体的产生降低了氟碳铈矿可浮性,同时氟碳铈矿作为载体强化了方解石的浮选回收,此外方解石在氟碳铈矿表面的附着阻碍了氟碳铈矿与氟碳铈矿的相互作用,进一步降低了氟碳铈矿的可浮性。因此,方解石与氟碳铈矿间的疏水异相团聚致使OHA难以有效实现两者间的浮选分离。而氟碳铈矿不与石英间产生疏水力,故无法产生异相聚集体,因而OHA可有效实现氟碳铈矿与石英间的浮选分离。

10.jpg

图1 氟碳铈矿AFM胶体探针的光学显微镜图片

11.jpg

图2 OHA(a~c)作用前和(d~f)作用后,接近过程中(a、d)氟碳铈矿- 氟碳铈矿、(b、e)氟碳铈矿- 方解石和(c、f)氟碳铈矿- 石英间的相互作用力(pH=9. 0)

12.jpg

图3 OHA作用前后,(a)氟碳铈矿与氟碳铈矿、(b)氟碳铈矿与方解石和(c)氟碳铈矿与石英间的黏附力分布(pH=9. 0)


3.2 扩展DLVO理论与矿物AFM胶体探针测力关联分析

扩展DLVO理论为矿物颗粒间相互作用力的计算提供了理论基础,而矿物AFM胶体探针测力技术为准确测量矿物颗粒间的相互作用力提供了实践方案。因此,通过两者的关联分析,可以更加准确地预测颗粒间的相互作用力。

LIU 等通过黄铜矿和孔雀石AFM胶体探针,测量了S-[2-(羟胺基)-2- 乙酰基]-N,N- 二丁基- 二硫代氨基甲酸酯(HABTC)作用前后,黄铜 矿- 黄铜矿、黄铜矿- 孔雀石和孔雀石- 孔雀石间的相互作用力,并结合扩展DLVO理论,探讨了HABTC 同步浮选黄铜矿和孔雀石的机制。图4 为黄铜矿和孔雀石AFM胶体探针的光学显微镜图片,图5 为HABTC作用前后,探针在接近过程中与矿物表面的相互作用力及扩展DLVO理论计算结果,图6 为探针在离开过程中的相互作用力。在HABTC作用前,探针接近过程中,黄铜矿- 黄铜矿、孔雀石- 孔雀石和黄铜矿- 孔雀石间均没有明显的相互作用力,扩展DLVO 理论计算结果表明,它们间的作用力主要为范德华力和静电力。探针离开过程中,黄铜矿- 黄铜矿、孔雀石-孔雀石和黄铜矿-孔雀石间的黏附力分别为0.24、0.86 和0.25 nN。在HABTC作用后,探针接近过程中,黄铜矿- 黄铜矿、孔雀石- 孔雀石和黄铜矿- 孔 雀石间均产生了“跃进接触”现象,“跃进接触”距离分别为8.6、9.1、12.5 nm,扩展DLVO理论计算结果表明,HABTC不改变颗粒间的范德华力,略微提升了颗粒间的静电斥力,同时显著增强了颗粒间的疏水引力,使得黄铜矿- 黄铜矿、孔雀石- 孔雀石和黄铜矿- 孔雀石间“排斥- 吸引”转变的临界距离分别提升至9.5、9.3、10.4 nm。探针离开过程中,黄铜矿- 黄铜矿、孔雀石- 孔雀石和黄铜矿- 孔雀石间的黏附力分别增强至1.74、5.60 和2.38 nN。试验结果表明, HABTC均能显著提升黄铜矿与孔雀石的疏水性,促使其能通过疏水引力产生异相聚集体。

13.jpg

图4 (a)黄铜矿和(b)孔雀石AFM胶体探针的光学显微镜图片

14.jpg

图5 HABTC(a~c)作用前和(d~f)作用后,(a、d)黄铜矿与黄铜矿、(b、e)孔雀石与孔雀石和(c、f)黄铜矿与孔雀石接近过程中的相互作用力

15.jpg

图6 HABTC作用前后,(a)黄铜矿与黄铜矿、(b)孔雀石与孔雀石和(c)黄铜矿与孔雀石间的黏附力


3.3 其他方法

此外,通过原位光学显微镜图片、接触角、Zeta 电位和颗粒粒度分布等方法也能研究颗粒间的相互作用。

ZENG等通过Zeta 电位、光学显微镜图片和接触角研究了黄铁矿(Py)与蛇纹石(Serp)间的相互作用以及异丁基黄药(SIBX)对其作用的影响。图7 为pH 对黄铁矿和蛇纹石表面Zeta 电位的影响,图8 为黄铁矿与蛇纹石和SIBX 作用前后,黄铁矿表面的原位光学显微图像和接触角。结果表明,吸附SIBX 前,在pH=5.0~8.6 时,黄铁矿表面带负电,而蛇纹石表面带正电,两者间由于静电吸引使得蛇纹石在黄铁矿表面仅存在轻微聚集。吸附SIBX 后,黄铁矿表面的疏水性增强,蛇纹石疏水的Mg-O面与黄铁矿表面间产生了极强的疏水引力,导致蛇纹石在黄铁矿表面发生了显著的聚集现象。

16.jpg

图7 pH对黄铁矿和蛇纹石表面Zeta 电位的影响

17.jpg

图8 黄铁矿与蛇纹石和SIBX作用前后,黄铁矿表面的原位光学显微图像和接触角

LIU 等研究了HABTC作用前后,黄铜矿、孔雀石和它们混合物的粒度分布,结果如图9 所示。在pH=8.5、HABTC处理前,黄铜矿、孔雀石和它们混合物的d90 粒度(矿物粒度分布累积百分比达到90% 时的粒度)分别为42、25和33 μm。在HABTC处理后,d90 粒度分别增加至112、79 和85 μm。这两种矿物在HABTC作用后,均能产生较大的团聚体。

18.jpg

19.jpg

图9 (a、d)黄铜矿、(b、e)孔雀石和(c、f)它们混合物的粒度随(a~c) pH(2. 5×10 -5 mol/L HABTC)和(d~f) HABTC浓度(pH约8. 5)变化的分布



4 微细粒矿物聚集/分散驱动力

疏水体系下的扩展DLVO理论表明,颗粒间的相互作用力主要由范德华力、静电力和疏水力构成。 而范德华作用力仅与颗粒的形状和Hamaker 常数有关,难以通过外加试剂进行调控,因此,主要通过调控颗粒间的静电力和疏水力来促进微细粒矿物间的聚集/分散。


4.1 静电作用

两个球形颗粒间恒表面电势的边界层条件下的静电双分子层作用力计算公式表明,影响其作用力大小的主要因素为颗粒的表面电势。因此,通过外加试剂调控颗粒的表面电势可有效改变颗粒间的相互作用力。

ZENG等研究表明,SIBX在黄铁矿表面的吸附会增强其与蛇纹石间的疏水力,从而产生异相团聚体, 导致其浮选分离变得困难。而通过添加羟基乙叉二膦酸(HEDP)可消除这种影响,从而实现黄铁矿与蛇纹石间的浮选分离。图10 展示了HEDP消除蛇纹石与黄铁矿聚集的机制。HEDP阴离子在蛇纹石表面的化学吸附显著降低了其电位,同时SIBX阴离子在黄铁矿表面的自组装增加了其负电位,这增强了蛇纹石和黄铁矿之间的静电斥力,使其足以克服了它们之间的疏水引力,从而基本消除黄铁矿与蛇纹石的异相团聚。

20.jpg

图10 HEDP或SIBX作用下蛇纹石与黄铁矿聚集与分散的机制

ZENG等研究表明,通过添加木质素磺酸钠(SLS)也能避免微细粒蛇纹石颗粒与疏水化黄铁矿的聚集。浮选结果表明,在pH=9.0时,1.0×10 -4 mol/L SIBX仅能从黄铁矿-蛇纹石人工混合物(质量比为2∶1) 中浮选回收22% 的黄铁矿,而额外添加70 mg/L SLS 后,可浮选回收90% 的黄铁矿。这是由于SLS 通过其羧基和酚羟基吸附在蛇纹石中带正电荷的Mg位点上,降低了蛇纹石的疏水性和表面电位,从而增强了蛇纹石与SIBX 处理后黄铁矿间的静电斥力并减弱了它们间的疏水引力,使其难以发生聚集,其作用机制示意图如图11 所示。

21.jpg

图11 SLS抑制蛇纹石与黄铁矿聚集的机理


4.2 疏水作用

疏水作用是指疏水表面在水溶液中相互聚集以减少与水分子的接触,从而降低体系自由能的现象。疏水力的作用范围通常比范德华力更远,在长程相互作用中表现突出。因此,疏水作用对颗粒间的相互作用起到决定性作用,选择性地调控颗粒间该作用对微细粒矿物的浮选分离具有重要意义。

CHEN等研究表明,以羧甲基纤维素(CMC) 为滑石抑制剂、SIBX 为辉钼矿捕收剂浮选单矿物时取得了较好分离效果,但在混合矿物体系中,它们的分离效率会大幅下降。在CMC和SIBX 共同存在时,滑石和辉钼矿表面均带负电荷,为静电排斥,但滑石与辉钼矿表面能产生极强的疏水作用,克服了它们间的静电斥力,促使其产生了异质团聚体,从而影响了两者的浮选分离,该作用机理的示意图如图12 所示。

22.jpg

图12 无/ 有CMC和SIBX时滑石与辉钼矿表面作用机理的示意图

ZENG等研究表明,以1.0×10 -6 mol/L SIBX 为捕收剂,在pH=7.8 时,黄铜矿和滑石单矿物的浮选回收率均超80%。而在pH=8.0,以37.0 mg/L 木质素磺酸钙(CLS)为抑制剂、3.0×10 -5 mol/L SIBX 为捕收剂时,黄铜矿和滑石在混合矿(质量比1∶1)浮选时的回收率分别为88.32% 和29.24%,可有效实现两者的浮选分离。由于CLS 在滑石表面的吸附显著降低了其表面的疏水性,大幅减弱了滑石与黄铜矿间的疏水引力,使得两者间的静电斥力足以克服疏水引力,难以形成异质团聚体,从而保证黄铜矿的选择性浮选分离。

LIU 等研究了HABTC对黄铜矿和孔雀石的同步浮选回收,HABTC均可吸附在黄铜矿与孔雀石表面,提升它们的疏水性,使其产生较强的疏水引力,促使其相互靠近。此外,当两种矿物的距离足够近时, 未配位的二硫代氨基甲酸酯或羟肟酸基团可以与邻近的颗粒结合,起到桥梁作用,进一步加剧絮团的产生,从而实现两者的同步浮选回收。图13 为HABTC 促进黄铜矿和孔雀石之间团聚的示意图。

23.jpg

图13 HABTC溶液中,黄铜矿和孔雀石之间团聚机制的示意图



5 泡沫夹杂

矿物浮选过程中,亲水的脉石矿物常通过机械夹带的方式被带入精矿,严重影响精矿品质,图14 为泡沫夹带现象的简单示意图。由于微细粒矿物粒径小、质量轻,导致其沉降速率较慢,更易被机械夹带至 精矿。

24.jpg

图14 浮选工艺中的泡沫夹带现象

YU等研究了辛基羟肟酸(OHA)对氟碳铈矿和石英的浮选性能及作用机制。结果显示,OHA几乎不在石英表面发生吸附,致使其表面始终是亲水性的,无法被气泡捕获,因此OHA难以浮选石英。而在混合矿分离时,石英无法与氟碳铈矿产生团聚体,但石英的回收率仍高于单矿物浮选。这是因为在混合矿浮选时的动态泡沫稳定性更高,致使水回收率更大, 使得更多的石英通过机械夹带的方式被浮入精矿。



6 结论和展望

微细粒矿物由于其粒径小、比表面积大和表面能高等特点,导致其交互作用较强,使其在浮选过程中易于发生团聚、罩盖和夹带等现象,这导致其有效浮选分离变得困难。因此,准确分析颗粒间的交互作用十分重要。随着基础理论和检测手段的进步,颗粒间相互作用机制的研究取得了较大的进展,但仍然是研究热点之一。

1)目前关于颗粒间交互作用的检测和分析通常在溶液环境相对简单的情况进行,复杂矿浆环境中颗粒的交互作用还有待进一步研究。

2)通过大数据、AI 等手段构建颗粒间相互作用的模型,为解决多种颗粒交互影响提供基础。

3)通过矿物加工科学、表界面科学和胶体化学等多学科交叉融合,建立更科学、更适配浮选分离的矿物颗粒交互作用理论。

4)将微细粒矿物选矿理论与实践相结合,发展颗粒间交互作用选择性调控药剂与方法,促进微细粒矿物高效分离与富集。




  • 行业动态

  • 成果展示