CO₂矿化养护三元基地聚物的固碳能力及力学性能
来源:冶金渣与尾矿 时间:2025/12/3 14:35:43

摘要

为实现CO₂矿化固定减排与多元固废综合利用的协同效应,在矿化养护条件下,以碱激发全固废制备的地聚物为对象,探究钙含量、水玻璃模数、碱胶比和水固比对抗压强度和固碳效果的影响,并通过XRD和SEM电镜对其矿物组成及微观形貌特性进行分析。结果表明:矿化养护条件下,地聚物的抗压强度随钙含量的增加而升高,随水玻璃模数和水固比的升高而降低,随碱胶比的升高,先增大后减小,且矿化反应基本在前7天内完成,固碳效果达到28 d的90%以上。从微观结构和化学分析得出,CO₂与地聚物的水化产物及少量碱性物质进行反应,生成大量的CaCO₃,对消耗的C-S-H和C-H等物质进行填充,使微观结构更致密,矿化养护是助力实现碳中和的有效固碳方法。

最大限度地提升工业固废综合利用率是实现碳中和、推动建筑行业低碳发展的重点。赤泥又称铝土矿残渣,是氧化铝冶炼过程中产生的一种强碱性工业废渣,每生产1 t氧化铝约排放0.6~2.5 t赤泥[1]。赤泥的矿物和化学成分随铝土矿来源和加工条件的不同有很大差异,至今没有统一的赤泥利用方法和标准。目前,世界赤泥平均利用率为15%,而我国赤泥综合利用率仅为7%[2]。赤泥具有高碱度和阳离子交换能力,储存不当会对土地、生态系统和地下水造成严重危害,安全处置和有效利用赤泥已成为氧化铝行业面对环境的巨大挑战。由于赤泥中含有一定量的铝和硅的氧化物和氢氧化物,可溶性碱有助于激发潜在水化活性,同时粒径较小的赤泥还可填充浆体孔隙,提高材料密实度,这为其在地聚物胶凝材料领域的大规模应用提供了基础,具有良好的工业化潜力[3-4]。已有学者进行了将赤泥用于制造水泥、砖、混凝土和路基等建筑材料的多项研究。Wang等[5]利用赤泥中富含C2S矿物的特性,在钙化-碳化处理后生产水泥基材料。Mukia[6]将赤泥用作混凝土外加剂制备自密实混凝土,以改善结构完整性并提高其性能。但由于赤泥中NaO和K2O含量多、碱含量高、活性矿物含量较少,单掺会降低水泥混凝土的力学性能和耐久性能,其在建材行业的综合利用和利用率受到限制[7-8]。一些学者[9-11]提出了利用碱性矿物材料激发水化活性,促使水化硅酸钙凝胶和钙矾石的生成,提高水化浆体的密实度,同时碳化和封存CO2,碱性矿物材料与CO2发生碳酸化反应,碳化产物具有胶凝特性,可用作建筑材料。

地聚物最早是由Davidovits[12]提出的一种可替代硅酸盐水泥的无机胶凝材料,具有非晶态和准晶态的三维网状结构,以富含硅铝材料为主要原料,由硅氧四面体和铝氧四面体交互形成硅铝酸盐矿物聚合物,可在常温常压环境下制备,生产能耗低,环保可循环。国内外对粉煤灰基地聚物已有较多研究,研究的重点集中在地聚物的原料配合比、碱性激发剂用量、硅酸钠浓度和用水量、养护条件等对力学性能的影响[13-14]。同时,钢渣中含有大量的活性CaSiO3和C2S,同样具有良好的矿化潜力。目前,CO2矿化养护研究主要集中于水泥基凝胶材料,关于粉煤灰、钢渣和赤泥三元固废地聚物胶凝材料的制备的研究较少,CO2矿化养护方式对碳固定能力和地聚物材料性能的影响尚未明确,固废地聚物的CO2矿化固定潜力还需要深入系统的研究。

本试验以粉煤灰、钢渣、赤泥为原材料,采用碱激发的方式,在CO2矿化养护和自然养护条件下,对制备的三元基地聚物的力学性能和固碳率的影响因素变化进行研究,并采用XRD和SEM电镜分析法,对地聚物材料的构成及微观结构特征进行分析,最大程度固定CO2,并满足结构的强度要求,实现固废在地聚物胶凝材料中的多样化、减量化消纳,为“双碳”目标实现提供支撑。


1

试验方案

1.1  原材料

粉煤灰为河南铂润铸造材料有限公司生产,具体技术指标见表1;赤泥为某氧化铝粉厂采用烧结法制备的废弃物,活性较好;钢渣来源为巩义市铂润耐火材料有限公司;粉煤灰、赤泥和钢渣的化学成分见表2;赤泥和钢渣中的钙镁氧化物含量均达到45%以上,约为粉煤灰的13.08倍。

试验所用激发剂为水玻璃(Na2SiO3)和NaOH调模后的试剂,常温下为灰色半透明黏稠状液体。硅酸钠采用50波美度,模数为2.4,由河南省鼎炎公司生产。硅酸钠溶液的各化学成分的质量比为Na2O:SiO2:水不溶物=14.91:35.48:0.72。Na2SiO3和NaOH溶液须在试验前24 h准备。试验用水为郑州市自来水。


1.jpg


1.2  单因素试验方案

为进一步研究不同固废掺量、水玻璃模数、水固比、碱胶比对钢渣-赤泥-粉煤灰基地聚物增强固碳特性的影响,采用单因素试验法,设置梯度变化确定地聚物的力学性能和固碳率的变化趋势,具体的配合比见表3。


2.jpg


1.3  试块的制备及养护

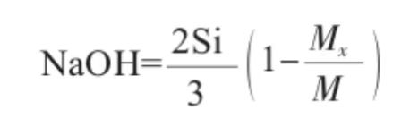
根据方案所需,需要配制不同模数的碱激发剂,试剂原模数为2.4,根据式(1)进行激发剂模数的调整:

3.jpg

式中:

Mx ———所需模数;

M ———试剂初始模数;

Si ———试剂本身二氧化硅成分含量。

将调配后的硅酸钠溶液封存,室温放置3 h。钢渣-赤泥-粉煤灰基地聚物试件的制备流程与养护处理具体如下:

(1)先将粉煤灰、钢渣、赤泥进行混合搅拌,并在搅拌过程中逐步加入碱性激发剂及附加水,直至充分混合。

(2)将拌和均匀的浆体倒入40 mm×40 mm×160 mm模具中成型,振捣密实至无气泡溢出。由于本试验调配有模数为1.9的碱激发剂,部分试块在24 h和48 h内无法凝固,所有试块均在72 h后脱模并进行称重。在试验过程中发现部分试件因发生碱-集料反应而产生泛白效应,说明部分碱性物质并没有与粉煤灰较好地反应凝聚为硅铝胶凝材料,对应的试件出现凝固较慢或初凝强度偏低的现象。

(3)自然养护组试件在相对湿度≥95%、温度(20±2)℃的标准水化养护环境中分别养护至7 d、14 d、28 d。矿化养护组试件先置于室内通风环境下预养护3 d,再放入烘箱中干燥至剩余水灰比为0.2,随后立即对试件进行矿化养护,采用的矿化养护反应装置如图1所示。通入的CO2纯度为99.9%,设置养护压力为1.0 MPa,养护温度为25 ℃,矿化养护4 h后将试件取出并进行称重,随后继续在与自然养护相同的环境下养护至7 d、14 d和28 d。


4.jpg


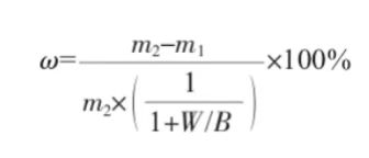
1.4  固碳率的测定

使用CO2固碳率来评估钢渣-赤泥-粉煤灰基地聚物的固碳能力,计算矿化养护后试块质量的变化率,计算式如式(2):


5.jpg


式中:ω ———固碳率,%;

m1 ———矿化养护前试件质量,g;

m2 ———矿化养护后试件质量,g;

W/B ———剩余水灰比。


1.5  试验分析方法

参照国标GB/T 17671—2020《水泥胶砂强度检验方法》测定地聚物胶凝材料的抗压强度;采用XRD-7000S型X射线衍射仪测定地聚物胶凝材料的矿物组成及结晶性物;使用S4800型扫描电子显微镜对试件的微观结构进行表征。


2

结果与分析

2.1  钙含量的影响

2.1.1  XRD分析

图2为28 d条件下FA60-80的地聚物XRD谱。由图2发现,粉煤灰、赤泥、钢渣与碱性激发剂混合后,产生的晶体峰较多,有大量的晶体相和玻璃相,在25°~30°处存在明显宽大的弥散峰,产生的原因是原材料中的硅、铝、钠元素解聚和缩聚后产生的大量C(- A)-S-H等无定形的凝胶产物,发生地聚合反应。地聚物胶凝材料制备后的主要产物是碳酸钙、钠长石、二氧化硅、莫来石和C-S-H、C-A-S-H、N-A-S-H凝胶构成,氢氧根和活性的SiO2和Al2O3反应,转化为C-S-H、C-A-S-H、N-A-S-H凝胶为试件的抗压强度做贡献。


2.1.2  强度变化

表4为FA60~80钙元素含量表,随粉煤灰掺量的升高,钙含量降低,当粉煤灰掺量60%、赤泥30%、钢渣10%时,含钙量最高为112 kg/m3。根据不同钙含量的变化,对FA60、FA70、FA80组地聚物的固碳增强效应进行研究。


6.jpg

7.jpg

8.jpg


图3为钙含量对地聚物试件抗压强度和固碳率的影响,FA60、FA70、FA80组地聚物的钙含量见表4。由图3可以看出,矿化养护可以提高不同龄期的地聚物胶凝材料抗压强度,其中7d抗压强度提升效果最显著,并且钙含量越高则强度增强效果越明显,试件FA60、FA70、FA80的7d抗压强度分别提升了1.50、0.89、0.41倍。

随养护时间的增加,抗压强度的提升效果逐步趋于稳定,同时固碳率的提升幅度降低,这是因为随着龄期的增加,碳酸化产物的填充反而会堵塞矿化养护过程中CO2进入地聚物胶凝材料试件内部的通道。3组试件(FA60~803)的7 d固碳率分别为28 d固碳率的0.90倍、0.92倍和0.94倍,得出矿化反应基本在前7天完成,后续阶段矿化养护反应速率逐渐降低。


2.2  碱激发模数的影响

2.2.1  XRD分析

图4为28 d条件下M1.2~1.9的地聚物XRD谱,由图得出,随碱激发剂模数的增加,生成的碳酸钙含量先升高后降低,在模数为1.4的时候,碳酸钙衍射峰显著增强,说明此时生成的碳酸钙含量最高。


9.jpg


2.2.2  强度变化

对不同模数变化下的地聚物试块进行抗压强度试验,得到的结果如图5所示,试件在矿化养护后整体抗压强度有显著提升,且随着试件水玻璃模数的提高,矿化养护后试件的抗压强度提升幅度有一定程度的衰减。图6为水玻璃模数对固碳率的影响趋势图,可见随水玻璃模数的降低,固碳效果逐步降低。

按照水玻璃模数为1.2~1.9的梯度变化进行研究,由图5可知,地聚物的7 d、14 d和28 d抗压强度均随水玻璃模数增大而降低。水玻璃模数越低,地聚物在水化过程中会产生更多的莫来石和类沸石产物,胶凝材料结合更加紧密。同时,水玻璃模数越低,矿化养护提升的强度越高,且随试件龄期的增加,抗压强度提升的效果逐步趋于稳定。水玻璃模数为1.2~1.9时,矿化养护7d后试件的抗压强度较自然养护提升5.77~14.03 MPa,为0.81~1.38倍。

由图6得出,水玻璃模数越低,地聚物的固碳效果越好,在水玻璃模数为1.2时,固碳效果最佳,28 d固碳率达到7.21%。随CO2矿化养护时间的增加,固碳率提升,当水玻璃模数为1.9时,28 d固碳率为5%,抗压强度达20 MPa,可达到低强度水泥的使用标准。


10.jpg


2.3  水固比的影响

水固比是CO2矿化养护胶凝材料中重要的分析指标之一。通常认为,水固比过大会导致试件成型过程中出现泌水现象,随龄期增加水分蒸发后试件表面留下较多孔隙,对试件的力学性能有不利影响。

图7为不同水固比对试件抗压强度的影响。当水固比从0.24增加到0.32时,自然养护和矿化养护条件下试件的28 d抗压强度分别下降了49.20%和48.36%,当水固比为0.24时,自然养护和矿化养护下的28 d抗压强度均达到最大值分别为28.66 MPa和35.09 MPa,此时试件坚硬密实,表面缺陷相对较少。


11.jpg


图8为不同水固比对试件固碳率的影响。随水固比逐渐增大,地聚物胶凝材料的固碳率呈现出先升高再降低的趋势。当制备水固比从0.24增加到0.26时,地聚物胶凝材料的固碳提升效果显著,毛细孔总体积率较大,CO2气体更易进入地聚物材料中的缺陷和孔隙,此时CO2气体的扩散系数较大,矿化反应速率较快,固碳效果好。在水固比为0.26时,28 d固碳率达到了6.57%。但另一方面,孔隙中的水也会阻碍CO2的扩散和渗透。当制备水固比从0.26增加至0.32时,固碳率下降,此时由于水含量过多,严重阻碍CO2的进入,降低矿化反应的进程。综上,水固比为0.26时,钢渣-赤泥-粉煤灰基地聚物的固碳率最佳。


12.jpg


2.4  碱胶比的影响

固定水玻璃模数为1.5,研究矿化养护和自然养护条件下,碱胶比对抗压强度和固碳率的影响,结果如图9和图10所示。


13.jpg

14.jpg

由图9得出,在自然养护和矿化养护下,碱胶比对不同龄期下地聚物胶凝材料抗压强度的影响较为相似,均呈现先增大后减小的趋势。当碱胶比为0.26时,矿化养护7 d、14 d和28 d的抗压强度达到最大值分别为16.74 MPa、25.35 MPa和29.28 MPa。

由图10得出,不同龄期下的固碳率不同但趋势相近,在碱胶比为0.28时,矿化养护28 d强度较自然养护提升了37.39%,此时试件固碳率为6.72%,达到最大值,固碳效果最好,在碱胶比升高或降低后,固碳率均有所下降。


3

SEM电镜分析

图11(a)~(c)所示为自然养护条件下FA60组微观形貌图。由图11(a)观察得出,微观结构内部存在未反应的粉煤灰球体,并包含有大量的无定形絮状物质,分布区域具有明显的不均匀性,将图11(a)和图11(c)处的粉煤灰球体进一步放大,如标志①和②所示,发现粉煤灰球体在碱性环境下发生腐蚀破坏,被凝结的絮状胶体包裹住,这种絮状物是C-S-H和C-A-S-H及N-A-S-H凝胶,是地质聚合反应的产物,是地聚物胶凝材料提供强度的主要方式。

图11(d)~(f)所示为矿化养护条件下FA60组微观形貌图。矿化养护相较于自然养护结构更为致密,在矿化养护过程中,CO2与地聚物胶凝材料中的水化产物及少量碱性物质反应,生成棒状、簇状、块状等不同形状的碳酸钙,对不均匀处消耗的C-S-H和C-H进行填充,如标记④所示,养护后密实度提升,强度升高。与自然养护对比后发现,未完全反应的粉煤灰球体增多,碱性环境下絮状胶体仍包裹部分粉煤灰球体,考虑与矿化养护过程中CO2浓度有关[15]。


15.jpg



4  结论


探究固废钙含量、水玻璃模数、碱胶比、水固比和养护条件对钢渣-赤泥-粉煤灰基地聚物的抗压强度和固碳率的变化,得出以下结论:

(1)矿化养护条件下,地聚物抗压强度随钙含量的增加而升高,随水玻璃模数和水固比的升高而降低,随碱胶比的升高,先增大后减小。当钢渣:赤泥:粉煤灰掺比为1:2:7,水玻璃模数、水固比、碱胶比分别为1.20、0.24、0.26时,钢渣-赤泥-粉煤灰基地聚物的28 d抗压强度最高可达38.77 MPa、35.09 MPa和29.28 MPa,相较于自然养护条件提升6.43~7.61 MPa。

(2)在矿化养护过程中,地聚物固碳率的提升幅度逐渐降低,反应基本在前7天内完成,7 d固碳率可达到28 d效果的90%以上。地聚物的固碳率变化随着钙含量、水玻璃模数、碱胶比的升高而降低,特别是当水固比大于0.26、碱胶比大于0.28时,对矿化反应的效果具有一定的削弱作用,导致固碳率明显下降。

(3)综合XRD与SEM微观结果得出结论,矿化养护过程中,CO2与地聚物的水化产物及少量碱性物质进行反应,生成棒状、簇状、块状等不同形状的碳酸钙,并对不均匀处消耗的C-S-H和C-H等物质进行填充,微观结构密实度提升,抗压强度升高,固化CO2的排放。


来源|《混凝土》

作者|王一晓,许耀群,林新昊,张昂,杨嫚嫚

编辑与整理|冶金渣与尾矿


  • 行业动态

  • 成果展示