昆明理工大学刘殿文团队:石英脉型金矿硫代硫酸盐浸金行为及动力学研究
来源:矿冶集团信息研究中心 时间:2025/12/5 11:17:59

为解决传统的氰化浸金工艺存在浸出剂毒性强、氰化废水和氰化尾渣环境危害大等问题,亟需开发出一种绿色环保的无氰浸出工艺。硫代硫酸盐法是最具潜力取代氰化法的无毒提金工艺。昆明理工大学刘殿文团队以内蒙古某石英脉型金矿为研究对象,对其在硫代硫酸盐体系下的浸出行为开展了系统的研究,采用MLA分析了原矿的工艺矿物学特征,ICP-AES分析了浸出液的元素组成,并通过浸出动力学分析查明了影响金浸出速率的主要控制因素。在“铜- 氨- 硫代硫酸钠”浸出体系下,详细考察了总氨浓度、铵盐种类、氨水与铵盐不同配比、硫代硫酸钠浓度、铜离子浓度、浸出时间、浸出温度以及浸出液固比等因素对金浸出率和硫代硫酸钠消耗量的影响。结果表明,在金浸出过程中,硫酸铵可替代部分氨水,从而减轻氨挥发对环境不利的影响。在最佳浸出条件下,金浸出率达到94.23%,氨水初始浓度和硫代硫酸钠的消耗量仅为0.8 mol/L 和52.18 kg/t。浸出动力学分析结果表明,金的浸出过程分为两个阶段:第一阶段,在浸出反应前20 min,浸出过程中金的溶解主要受混合扩散控制,表观活化能为13.19 kJ/mol,第二阶段,在浸出反应后20 min,浸出过程中金的溶解主要受内扩散控制,反应活化能为4.84 kJ/mol。相关成果发表于矿冶期刊群《有色金属(选矿部分)》2025年第10期,题目:石英脉型金矿硫代硫酸盐浸金行为及动力学研究。作者:向宇龙,马印禹,贵琪皓,申培伦,张添富,刘殿文。

1.png

扫码下载文章


研究背景

金凭借独特的物理化学性质,既是人类文明早期使用的金属之一,也是现代国际金融储备的重要组成部分,同时广泛应用于电子、通讯、航天、化工、医疗等多个关键领域。目前,金的主要来源为金精矿,提金工艺主要分为氰化浸金法与无氰浸金法两大类。氰化法因具有设备无腐蚀、成本低廉、金浸出率高等优势,长期以来一直是全球提金的主流技术,但该方法毒性极强、对矿石选择性差、浸出周期长,且对操作人员要求严苛,给周边环境带来严重威胁,部分国家和地区已明令禁止使用。因此,研发无毒、高效、环保的提金技术,对推动黄金产业可持续发展具有重要意义。当前主流的无氰浸金方法包括硫脲法、硫氰酸盐法、卤素法及硫代硫酸盐法。其中,硫脲法、硫氰酸盐法与卤素法虽在酸性条件下表现出良好的浸金性能,但存在设备腐蚀性强、硫脲成本高的问题,不仅提高了工艺设备及药剂制度的要求、增加企业生产成本,且实际生产中贱金属离子易随金一同溶解,给后续金的回收带来困难。相比之下,硫代硫酸盐法可在碱性环境中作业,具有杂质耐受性好、设备无腐蚀、浸出速度快、试剂无毒且价格低廉等突出优势,被认为是最有望替代氰化法的绿色环保提金工艺。

研究团队以内蒙某石英脉型金矿为研究对象,在原矿工艺矿物学分析的基础上,采用硫代硫酸盐- 铜- 氨体系进行浸金研究。为降低浸出过程中氨挥发的环境影响,试验采用铵盐替代部分氨水,并系统考察了铵盐种类、氨/ 铵比、总氨浓度、硫代硫酸盐浓度、铜离子浓度、浸出时间、温度及液固比等因素对金浸出行为的影响,进而优化浸出工艺参数;同时,通过对金浸出反应动力学的系统研究,明确了浸出过程的反应控制步骤。研究结果可为石英脉型金矿的高效清洁、无氰提取提供技术支撑。



1 矿石性质

试验矿样取自内蒙某石英脉型金矿,将矿样细磨至-74 μm 后,分别采用X 射线荧光光谱(XRF)、化学物相分析及矿物自动分析仪(MLA),对矿石的主要化学组成、金矿物物相组成及矿物种类与分布进行测定,结果见表1~3 及图1。由表1 可知,该金矿中金品位为2.16 g/t、银品位为2.53 g/t,铁、钙、镁等贱金属及碳、硫元素含量较低,金为唯一有价元素。由表2 可知,矿石中68.06% 的金以裸露金形式存在,12.96%的金赋存于黄铁矿中,而赋存于碳酸盐和硅酸盐中的金占比均较低,分别仅为6.48%和4.17%。表3 及图1 的MLA分析结果表明,该石英脉型金矿的主要脉石矿物包括石英(29.46%)、斜长石(12.61%)、白云母、绿泥石、方解石、正长石及铁角闪石。

表1 矿石主要化学成分分析结果

2.png

表2 矿石中金化学物相分析结果

3.png

表3 矿石主要矿物组成分析结果

4.png

5.png

图1 矿石主要矿物组成



2 试验材料与研究方法


2.1 试验药剂与设备

试验药剂:Na2S2O3 · 5H2O、CuSO4、(NH42SO4、(NH42 CO3、NH4HCO3 均为分析纯,采购自国药集团化学试剂有限公司,氨水(氨含量25%)采购自北京试剂。

试验设备:单工位磁力搅拌水浴锅(SN-HWS-6DJ,上海尚普仪器设备有限公司),循环水真空泵(SHZ-D(Ⅲ),上海力辰邦西仪器科技有限公司),颚式破碎机(PE250×400,武汉探矿机械厂),锥形球磨机(XMQ-67Φ240×90,武汉探矿机械厂),布氏漏斗,抽滤瓶,烧杯,滤纸等。


2.2 研究方法

1)矿样准备

矿石经颚式破碎机粗碎和中碎至-2 mm,再用球磨机细磨至-74 μm 占94%,然后采用真空抽滤机固液分离、干燥箱烘干、混样后用于后续浸出试验和分析测试。

2)浸出试验

试验前先将恒温水浴锅温度调至预先设定的温度,随后,将去离子水、氨水、铵盐、硫代硫酸钠和硫酸铜等试剂按要求配制成一定浓度的溶液作为浸出剂,根据液固比用量筒量取一定体积的浸出剂加入500 mL的烧杯中,待烧杯中的浸出液温度达到预设温度后,用天平准确称取50 g 细磨的金矿(-74 μm占94%)加入烧杯中,设定搅拌转速为300 r/min 开始浸出。浸出反应结束后,立刻使用布氏漏斗抽真空进行固液分离,浸出渣使用去离子水清洗5 次以最大限度减少颗粒表面金的吸附,并用量筒测定滤液的体积。浸出渣在干燥箱中烘干后称重并制样,采用王水消解样品,然后采用ICP-AES测定消解液中的金含量,并按照式(1)计算金的浸出率。

6.png

式中,ε 为金浸出率,%;m为浸出渣重量,g;β为浸出渣金品位,g/t。

采用碘量法分析浸出前后浸出液中硫代硫酸钠的浓度,并按照式(2)计算浸出过程硫代硫酸盐的消耗量。

7.png

式中,S 为浸出过程硫代硫酸钠的消耗量,kg/t;C0C1 分别为浸出前后硫代硫酸钠的质量浓度,kg/m3V0 和V1 分别为浸出前后浸出液的体积,m3m0 为浸出金矿的质量,t。



3 结果和讨论


3.1 浸出条件对金浸出行为的影响

3.1.1 氨水浓度的影响

在硫代硫酸钠浓度0.16 mol/L、硫酸铜浓度0.02 mol/L、液固比4∶1、浸出时间8 h 和浸出温度25 ℃的固定条件下,开展初始氨水浓度的浸出条件试验,试验结果见图2。由图2 可知,氨水的浓度对金浸出率有至关重要的影响。当氨水浓度由0.5 mol/L升高至1 mol/L 时,金浸出率由76.85 %升高至87.94%,造成这种现象的原因是氨与铜离子形成铜氨配离子Cu(NH342+,降低浸液的氧化电位加速了金的溶解;继续升高氨水浓度至2 mol/L,金浸出率基本维持不变。但当氨水浓度继续增加至超过2.5 mol/L时,金浸出率由85.99%急剧降低至76.85%,主要原因可能是随着氨水浓度的升高,浸液pH升高,降低了铜(Ⅱ)/ 铜(Ⅰ)电对的还原电位,因此Cu(Ⅱ)的氧化能力减弱,进而减弱了金的溶解过程。除此之外,溶液pH 升高,浸出过程中可能会形成CuO、Cu2O等固体物质包裹在金表面,使金与氧化剂接触面积减小,阻碍金的溶解,致使金浸出率下降。此外,随着氨水浓度由1 mol/L 增加至2.5 mol/L 时,硫代硫酸盐消耗量由40.21 kg/t 降低至19.31 kg/t。这一方面是因为氨浓度的升高促进了铜氨络合物的生成,显著降低了的电位,进而降低铜离子对硫代硫酸盐的氧化作用,减少了硫代硫酸盐的消耗;另一方面,由于初始氨浓度高,溶液中的NH4+ 离子浓度增大,NH4+ 与S2O32- 形成(NH42S2O3,提高了硫代硫酸盐的稳定性。综上所述,最佳的氨水浓度为1 mol/L。

8.png

图2 氨水浓度对金浸出的影响

3.1.2 铵盐种类的影响

铵盐可以稳定浸出液pH 值,减少硫代硫酸盐分解。因此,本研究在总氨水浓度1 mol/L,氨/ 铵比4∶1、硫代硫酸钠浓度0.16 mol/L、硫酸铜浓度0.02 mol/L、液固比4∶1、浸出时间8 h 和浸出温度25 ℃的固定条件下,探讨了氯化铵、碳酸铵、碳酸氢铵和硫酸铵对金浸出率的影响,试验结果见图3。由图3 可知,相较于氨水单独浸出,氨- 碳酸氢铵和氨-氯化铵浸出体系中金浸出率由87.94% 急剧降低至68.65%和71.52%,且硫代硫酸盐用量由40.21 kg/t增加至54.60 kg/t 和54.27 kg/t。而氨- 硫酸铵和氨-碳酸铵浸出体系的浸金率与氨水单独浸出浸金率相差无几,分别为86.57% 和86.01%,且硫代硫酸盐的消耗分别为37.10 kg/t 和39.19 kg/t。硫酸铵的使用,使得氨水用量减少0.2 mol/L,减弱了对环境的影响且硫代硫酸钠消耗降低。综合考虑,选择硫酸铵进行后续试验。

9.png

图3 铵盐种类对金浸出的影响

3.1.3 氨水与铵盐不同配比的影响

在总氨水浓度1 mol/L、铵盐为硫酸铵、硫代硫酸钠浓度0.16 mol/L、硫酸铜浓度0.02 mol/L、液固比4∶1、浸出时间8 h 和浸出温度25 ℃的固定条件下,开展不同氨/ 铵配比浸出条件试验,试验结果见图4。由图4 可知,随着氨/ 铵配比从1∶1 增加至4∶1 时,金浸出率由81.48% 升高至87.94%;继续增加氨/ 铵配比至5∶1,金浸出率变化不大,仅为88.06%。造成这种现象的原因是,少量铵盐的加入可以维持浸出液pH 值,并不断电离出氨分子,促使铜离子优先与氨分子结合生成铜氨络合物,加速金浸出的同时硫代硫酸盐的消耗量由40.21 kg/t 降低至37.10 kg/t。综上所述,最佳氨/ 铵配比为4∶1。

10.png

图4 氨水与硫酸铵不同配比对金浸出的影响

3.1.4 硫代硫酸钠浓度的影响

浸金剂用量是影响提金效果的关键因素之一。一般情况下,提高浸金溶液中硫代硫酸盐浓度对金浸出有利,但是硫代硫酸盐易分解、消耗量大,使用过多容易造成药剂浪费且成本高;用量偏少则浸出不彻底,指标差且浪费资源。在总氨水浓度1 mol/L、铵盐为硫酸铵、氨/ 铵比4∶1、硫酸铜浓度0.02 mol/L、液固比4∶1,浸出时间8 h 和浸出温度25 ℃的固定条件下,开展初始硫代硫酸钠浓度浸出条件试验,试验结果见图5。由图5 可知,当硫代硫酸钠浓度由0.16 mol/L升高至0.32 mol/L 时,金浸出率由83.61% 升高至90.28%。然而当硫代硫酸钠浓度继续升高至0.48 mol/L 时,金浸出率则逐渐降低至88.43%。造成这种现象的原因可能是,当硫代硫酸钠浓度较高时会氧化分解,在金矿石表面生成含硫化合物罩盖在金表面,阻止金与浸出剂进一步反应,使得金浸出率下降。除此之外,从图5 还可以观察到,当硫代硫酸钠浓度由0.32 mol/L 增加至0.48 mol/L 时,硫代硫酸钠消耗量由46.52 kg/t 增加至50.65 kg/t,但金浸出率反而由90.28% 降低至88.43%。综上所述,最佳的硫代硫酸钠浓度为0.32 mol/L。

11.png

图5 硫代硫酸钠浓度对金浸出的影响

3.1.5 铜离子浓度的影响

适量的铜离子对硫代硫酸盐浸金反应有显著的催化作用,直接影响金的浸出率。在总氨水浓度1 mol/L、铵盐为硫酸铵、氨/ 铵配比4∶1、硫代硫酸钠浓度0.32 mol/L、液固比4∶1、浸出时间8 h 和浸出温度25 ℃的固定条件下,开展初始硫酸铜浓度浸出条件试验,试验结果见图6。由图6 可知,当铜离子浓度由0.01 mol/L 增加至0.02 mol/L 时,金浸出率由86.11%增加至90.28 %。然而当铜离子浓度继续升高至0.05 mol/L 时,金浸出率则急剧降至75.32%。造成这种现象的原因可能是,铜离子与金离子在与硫代硫酸根离子形成配合物时存在竞争关系,导致部分硫代硫酸根离子与铜离子形成[Cu(S2O323-,导致用于与金离子形成[Au(S2O323-配离子的S2O32-减少,从而使金的浸出率降低。随着铜离子浓度的增加,硫代硫酸盐的消耗量从46.58 kg/t 增加至73.59 kg/t,原因可能是铜氨络离子[Cu(NH342+]将硫代硫酸根离子氧化生成S4O62-、S2O42-、SO32-、SO42- 等,造成硫代硫酸盐分解。综上所述,最佳的铜离子浓度为0.02 mol/L。

12.png

图6 硫酸铜浓度对金浸出的影响

3.1.6 浸出时间的影响

由于硫代硫酸钠不稳定,易被溶解氧以及铜离子氧化分解,导致硫代硫酸盐消耗量增加,因此,严格控制反应时间对于降低硫代硫酸盐消耗量以及提高金浸出率具有重要作用。在总氨水浓度1 mol/L、铵盐为硫酸铵、氨/ 铵配比4∶1、硫代硫酸钠浓度0.32 mol/L、硫酸铜浓度0.02 mol/L、浸出时间8 h和浸出温度25 ℃的固定条件下,开展浸出时间条件试验,试验结果见图7。由图7 可知,当浸出时间从2 h延长至8 h 时,金浸出率由77.87% 升高至90.28%。然而,继续延长浸出时间至10 h,金浸出率则略微降低至89.81%,主要原因可能是,硫代硫酸盐随着浸出时间的延长与溶液中的氧气和铜离子反应发生分解,导致有效与金反应的硫代硫酸盐含量减少。该结论可以通过硫代硫酸盐的消耗量得以佐证,当浸出时间由8 h 延长至10 h 时,硫代硫酸盐的消耗量由46.58 kg/t 升高至48.28 kg/t,进一步说明,延长浸出时间在金浸出率无明显提升的同时导致硫代硫酸盐消耗量增加。因此,最佳的浸出时间选择8 h。

13.png

图7 浸出时间对金浸出的影响

3.1.7 浸出温度的影响

温度会导致氨的挥发以及硫代硫酸盐的分解加剧。因此,在总氨水浓度1 mol/L、铵盐为硫酸铵、氨/ 铵配比4∶1、硫代硫酸钠浓度0.32 mol/L、硫酸铜浓度0.02 mol/L、液固比4∶1、浸出时间8 h 的固定条件下,开展浸出温度条件试验,试验结果见图8。由图8可知,当浸出温度由15 ℃升高至45 ℃时,金浸出率由86.87% 升高至94.86%。然而,继续升高温度至55 ℃,金浸出率急剧降低至76.62%。主要原因可能是温度升高会导致硫代硫酸盐分解严重,在金矿石表面生成含硫化合物罩盖在金表面,阻止金与浸出剂进一步反应,使得金浸出率下降。其次,温度的升高会导致氨的剧烈挥发,造成金浸出率降低。硫代硫酸盐消耗量表明,随着温度逐渐升高,硫代硫酸盐的消耗量持续增加,进一步证明硫代硫酸盐随温度升高大量分解。值得关注的是,当浸出温度由35 ℃升高至45 ℃时,金浸出率仅略微增加0.63%。因此,最佳的浸出温度选择35 ℃。

14.png

图8 浸出温度对金浸出的影响

3.1.8 浸出液固比的影响

液体的体积和固体质量之比,可以用液固比来表示,可以直接影响金浸出率、设备投资和矿石处理量。在总氨水浓度1 mol/L、铵盐为硫酸铵、氨/ 铵配比4∶1、硫代硫酸钠浓度0.32 mol/L、硫酸铜浓度0.02 mol/L、浸出时间8 h 和浸出温度35 ℃的固定条件下,开展液固比条件试验,试验结果见图9。由图9可知,当液固比由3∶1 升高至4∶1 时,金的浸出率从93.01%和94.23%,提升幅度为1.23 个百分点,而硫代硫酸钠的消耗量从48.52 kg/t 增大到52.18 kg/t,消耗量增大3.66 kg/t,继续增大液固比至5∶1 时,金的浸出率仅增加0.96 个百分点,为95.19%,但硫代硫酸钠的消耗量增加了7.37 kg/t,达到了59.55 kg/t。液固比从5∶1 增大至7∶1 时,金的浸出率无显著变化,但硫代硫酸钠的消耗量从59.55 kg/t 急剧增加至84.49 kg/t。因此,最佳的液固比选择4∶1。

15.png

图9 液固比对金浸出的影响

综上所述,在总氨水浓度1 mol/L、铵盐为硫酸铵、氨/ 铵配比4∶1、硫代硫酸钠浓度0.32 mol/L、硫酸铜浓度0.02 mol/L、浸出时间8 h 和浸出温度35 ℃、液固比4∶1 的条件下,金浸出率达到了94.23 %,实现了金的高效浸出。


3.2 浸出过程动力学分析

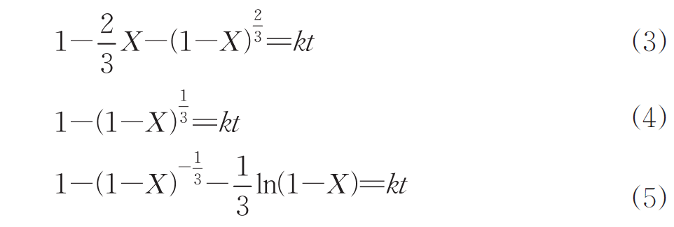
在上述分析的基础上,进一步探究了浸出过程的动力学,以揭示浸出反应的控制步骤和活化能。由于原矿金品位低,浸出过程矿石中的脉石组分基本不与浸出剂发生反应,浸出前后矿石的颗粒粒度基本保持不变。因此,硫代硫酸盐浸金过程中的浸出动力学符合经典的未反应核收缩模型。根据未反应的核收缩模型,浸出过程的总反应速率受反应物扩散和化学反应中最慢的步骤限制,常用的控制模型为内扩散控制、界面化学反应控制和混合扩散控制,其控制方程由式(3)~(5)来表示。

16.png

式中,X 为浸出率,%;t 为浸出时间,min;为平衡常数。

根据硫代硫酸盐浸出金矿的最佳试验条件,测得不同浸出温度和浸出时间下金的溶解情况,通过矿石动力学线性方程与活化能作为判断依据,研究该矿样在浸出液中的金溶解动力学。

根据常温条件下金浸出率变化结果,研究了不同浸出温度下,金浸出率随浸出时间变化的情况,结果见图10。

17.png

图10 不同浸出温度下金浸出率变化情况

由图10 可知,在四个温度条件下,随着浸出时间的延长,金的浸出率呈现快速上升后平稳升高的趋势。在浸出开始前20 min 内增速迅速,金浸出率随时间的变化几乎为一条直线且经过原点;当浸出时间继续延长,金浸出率增速变缓。对四个温度条件下的浸出过程进行内扩散控制、界面化学反应控制、混合扩散控制三种模型拟合,所得结果见图11。由图11可知,整个浸出过程的模型拟合相关系数R2均不高。因此,本文对硫代硫酸盐浸金的动力学研究分为两个阶段,第一阶段为开始浸出20 min,第二阶段为30~480 min。

18.png

图11 三种控制模型拟合金浸出过程:(a)内扩散控制模型;(b)界面化学反应控制模型;(c)混合控制模型

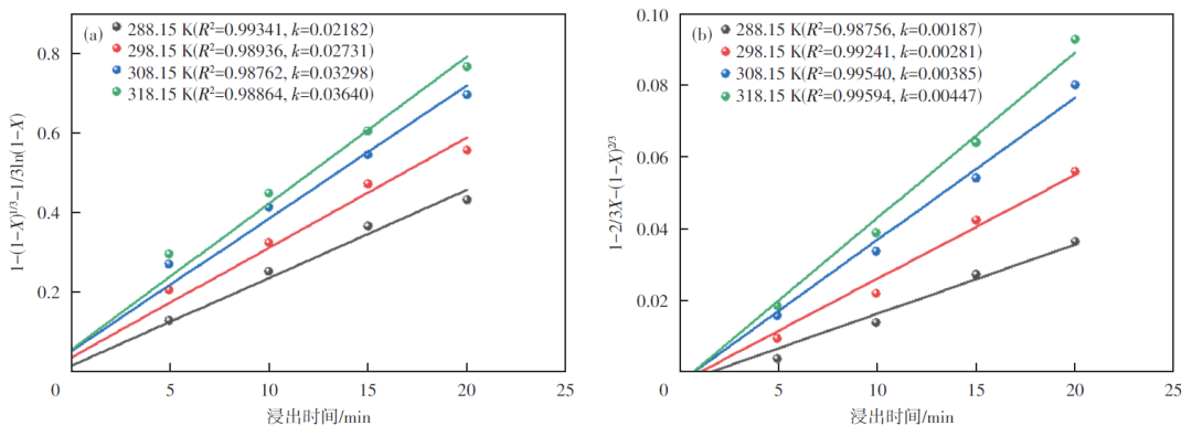
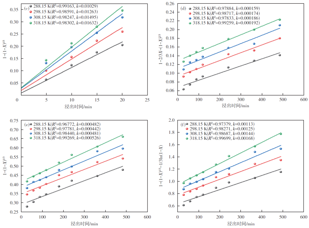
3.2.1 浸出各阶段控制模型的确定

在浸出过程中,温度对化学反应速率的影响远远高于扩散速率。因此,通过改变反应温度,使得浸出过程中的化学反应控制或者内扩散控制发生变化,从而确定金浸出两个阶段过程中的控制步骤。通过式(3)~(5),计算了不同温度下三种控制模型金浸出的拟合直线斜率、浸出速率常数以及相关系数,如图12(a~f)所示。相关系数越高,说明曲线与模型的拟合程度较好,拟合线的斜率越大,表示反应速率越快。图12(a~c)为第一浸出阶段三种模型的拟合结果,从图中可知,混合控制模型、内扩散控制模型以及界面化学反应模型的相关系数R2 分别大于0.98762、0.98756、0.98247。因此第一阶段浸出过程的控制步骤符合混合控制模型。此外,可以发现,在混合控制模型下,随着温度从288.15 K提高到318.15 K,斜率从0.02182 提高到0.03640,说明升高浸出温度会显著提高金在“硫代硫酸钠- 铜- 氨”体系下的浸出反应速率。图12(e~f)为第二浸出阶段三种模型的拟合结果,从图中可知,内扩散控制模型、混合控制模型以及界面化学反应模型拟合的相关系数R2 分别大于0.97833、0.97379、0.96772。因此第二阶段浸出过程的控制步骤符合内扩散控制模型。

图片

19.png

图12 不同模型下金浸出动力学:(a)第一阶段混合控制模型;(b)第一阶段内扩散控制模型;(c)第一阶段界面化学反应控制模型;(d)第二阶段内扩散控制模型;(e)第二阶段混合控制模型;(f)第二阶段界面化学反应控制模型

3.2.2 两个阶段活化能计算

化学反应中温度的表观反应常数(k)以及温度对反应负荷常数的影响可用阿伦尼乌斯方程(Arrhenibus)表示,如式(6)所示。

20.png

式中,k表示表观反应常数;A表示表观频率因子;Ea表示活化能,kJ/mol;R表示摩尔气体常量,8.314 J/mol;T 表示开尔文温度,K。

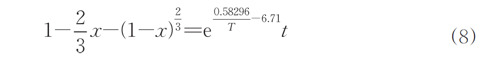
两个阶段控制模型下的ln k与1/T之间关系如图13所示。由图13(a)可知,第一阶段浸出过程的表观活化能为13.19 kJ/mol,活化能在12~41.8 kJ/mol 内,进一步证明了第一阶段金浸出过程属于混合控制。其浸出动力学方程如式(7)所示。

21.png

由图13(b)可知,第二阶段浸出过程的表观活化能为4.84 kJ/mol,活化能在4~12 kJ/mol 范围内,进一步证明了第一阶段浸出过程中金浸出是属于内扩散控制。其浸出动力学方程如式(8)所示。

22.png

图13 浸出过程Arrhenius 方程拟合结果:(a)第一阶段混合控制模型;(b)内扩散控制模型

23.png



4 结论

1)该金矿石含金2.16 g/t,主要脉石矿物为石英(29.46%),金在矿石中主要以裸露金(68.06%)形式存在。

2)研究探索出“硫代硫酸盐- 铜- 氨”的最佳条件,提供了一种可行的、无毒的金浸出方法。当浸出条件为:硫代硫酸钠浓度0.32 mol/L、铜离子浓度0.02 mol/L、总氨水浓度1 mol/L,保持氨水和硫酸铵以4∶1 的配比混合、液固比4∶1、浸出时间8 h、浸出温度35 ℃,金的浸出率达到94.23%。

3)浸出20 min 前,金的溶解主要受混合扩散控制,表观活化能为13.19 kJ/mol;浸出20 min 后,金的浸出动力学属于内扩散控制,表观活化能为4.84 kJ/mol。


  • 行业动态

  • 成果展示