聚焦矿用牙轮钻机!轴压、转速、岩性影响钻速,随钻系统可靠性实测获证
来源:矿冶集团信息研究中心 时间:2025/12/31 10:46:38

为揭示矿用牙轮钻机钻进参数在不同岩性矿岩的响应规律,探究钻进速度对岩性识别的适用性,本文采用数值模拟与现场试验相结合的方法开展研究。通过Abaqus有限元仿真软件构建破岩钻进仿真模型,分析矿岩类型、钻头转速和轴压对牙轮钻头破岩钻进速度的影响规律。结果表明:钻进速度受轴压、钻头转速及矿岩岩性的综合影响,在工况允许范围内,提升轴压和钻头转速可增加钻进速度,提高钻进效率;钻进速度在不同岩性矿岩具有显著区分,可作为岩性识别的有效指标;在内蒙古某露天矿搭建随钻测量系统,实时采集现场钻进数据并与仿真结果进行对比验证,数值模拟与实测数据的钻进速度变化趋势一致,验证了随钻测量系统的可靠性。论文结果能够为矿用牙轮钻机随钻测量系统、钻速控制优化及随钻岩性识别等研究提供一定理论依据与技术支撑。相关成果发表矿冶期刊群《有色金属(矿山部分)》2025年第6期。题目:矿用牙轮钻机钻进参数在不同岩性矿岩的响应规律研究。作者:张伟,段云,张丽,胥维,王明,迟洪鹏,杨立云。

1.png

扫码下载文章



研究背景

石油开采油气井的穿凿是牙轮钻机最早开始应用的工业领域。如今,牙轮钻机已经成为世界上露天矿山穿孔作业及其他工程爆破穿孔作业中广泛采用的主要钻孔设备。在钻爆作业中,钻进参数控制和爆破参数设计依赖地质勘探报告、工程类比经验以及司钻人员操作,对钻机使用寿命及爆破质量具有很大影响。因此,智能钻井基础理论与方法和岩性智能识别方法是未来的前沿研究方向。

矿用牙轮钻机破岩钻进的本质是牙轮钻头与不同岩性的矿岩相互作用的过程。相关研究人员开展了破岩钻进的数值模拟研究,BRAKEL等通过建立岩石和钻头相互作用模型,对钻具组合的动态特性进行有限元分析;黄志强等采用ANSYS/LS-DYNA软件对冲旋钻头破岩钻进过程进行仿真模拟,得到钻头破碎岩石深度主要取决于冲击作用而与旋转作用关系不大;林铁军等采用Abaqus有限元软件对空气钻动态破岩进行仿真模拟,得到钻进扭矩的变化规律;刘海龙等采用ANSYS/LS-DYNA软件对牙轮钻头牙齿破岩过程进行仿真,比较了不同齿形的破岩效果;王清峰等采用Abaqus有限元软件对单牙轮钻头与岩石系统进行了破岩过程动力学分析与仿真,得到钻进扭矩、加速度、位移的变化规律;吴泽兵等基于有限元法与弹塑性力学理论,构建了钻头破岩仿真模型,重点研究了混合钻头破岩过程中的温度场动态变化特征及其破岩机理;邓嵘等基于离散单元法(DEM)建立PDC齿压入砾岩的数值模型,结合室内试验验证模型可靠性,研究非均质砾岩的破碎机制。

综上所述,有关破岩钻进的数值模拟研究主要集中在钻头破岩机理和钻头结构优化,钻进参数在不同岩性矿岩间响应规律的研究尚处于发展阶段;研究领域主要集中在岩芯钻探、石油天然气钻井,围绕露天矿山牙轮钻机钻孔的研究相对较少。矿用牙轮钻机作为露天矿山钻孔作业的核心设备,其成孔质量与作业效率直接影响后续爆破效果与整体开采效率。钻进速度作为表征矿岩可钻性的重要量化指标,能够综合反映矿岩的物理力学特性及结构特征等关键影响因素,可为钻孔与爆破工艺参数优化提供指导依据。因此,开展在不同岩性矿岩条件下的钻进参数响应规律研究,能够为构建钻进参数与矿岩匹配模型,炸药与矿岩匹配模型等提供理论依据,对于改善钻孔与爆破作业质效具有重要意义。本文利用数值模拟方法,研究矿用牙轮钻机钻进参数在不同岩性矿岩的响应规律,从矿岩类型、钻头转速和轴压研究矿用牙轮钻头破岩钻进过程中的钻进速度变化规律;在内蒙古某露天矿搭建牙轮钻机随钻测量系统,进行现场钻进试验,结合数值模拟与现场试验分析钻进速度变化规律,钻进速度在不同岩性矿岩具有显著区分,可作为岩性识别的有效指标,验证了随钻测量系统的可靠性。本文研究方法与结果能够为矿用牙轮钻机随钻测量系统、钻速控制优化及随钻岩性识别等研究,提供一定理论依据与技术支持。

1 牙轮钻头破岩钻进仿真

采用仿真模拟与现场试验相结合的方法,研究矿用牙轮钻头钻进磁铁矿、赤铁矿、白云岩及板岩4种矿岩时的位移、钻进速度规律。

1.1 基本假设条件

主要研究矿用牙轮钻头破岩过程中钻进速度与不同矿岩之间的响应关系,忽略矿岩分布不均及内部裂隙等因素影响,作如下假设:1)仿真中所涉及的矿岩均为均质、各向同性;2)牙轮钻头力学性能远大于矿岩,故设定牙轮钻头为刚体;3)忽略钻进过程中切削液、岩屑及卡钻等非主要工况对破岩钻进的影响。

1.2 岩石本构关系及失效判据

岩石本构关系描述了岩石在受力过程中应力与应变之间的关系,能够反映岩石的变形和破坏规律。牙轮绕牙掌轴线自转,随着钻杆回转而绕钻杆轴线公转。牙轮在旋转过程中在轴压作用下,压入和冲击破碎岩石,在炮孔底工作时产生一定量的滑动对岩石产生剪切破坏。

在岩土工程数值模拟分析中,本构关系的选择对模拟计算结果的可靠性起着关键作用。Drucker-Prager(DP)准则作为岩石力学中重要的强度理论之一,综合考虑了体积应力、剪应力以及中间主应力对岩石强度的影响,相对真实地反映实际工程情况。如图1所示,Mohr-Coulomb(MC)准则在π平面上为六边形,在三维应力空间中呈现六边形金字塔形屈服面;DP准则在π平面上为圆形,在三维应力空间中呈现圆锥形屈服面,避免了棱角处的应力奇异性,便于数值模拟运算,适用于Abaqus有限元软件处理大变形非线性工程问题。

2.png

图1 不同破坏准则在π平面上的轨迹

因此,本文选定Drucker-Prager(DP)准则作为岩石材料的本构关系,DP准则定义式如下:

3.png

式中:

4.png

式中:f为屈服函数;I₁为应力的第一不变量;J₂为应力偏量第二不变量;α、K为与岩石内摩擦角φ和黏聚力c有关的试验常数。

岩石经弹性应变阶段、塑性硬化阶段到破坏阶段,岩石单元失效的塑性应变判据为:

6.png

式中:6.png为岩石完全失效时的等效塑性应变;εᵖ为岩石的等效塑性应变。


1.3 几何模型及网格划分

建立钻孔直径310mm矿用牙轮钻头模型及矿岩模型。为妥善平衡仿真计算效率、稳定性等,对模型结构进行合理简化,忽略牙轮钻头结构中对破岩钻进主要过程影响不大的挖孔凹槽、倒角倒圆及通风孔道。对结构较为复杂的牙轮钻头模型,采用C3D4四面体单元进行网格划分;对结构相对简单的矿岩模型,采用C3D8R六面体单元进行网格划分。模型单元总数为598480,牙轮钻头与矿岩三维模型如图2所示。

7.png

图2 牙轮钻头与矿岩模型


1.4 材料参数设定

基于仿真基本假设条件及内蒙古某露天矿山主要矿岩分布,设定牙轮钻头为刚体,设定磁铁矿、赤铁矿、白云岩及板岩4种矿岩进行仿真。材料部分参数见表1。

表1 仿真材料参数

8.png


1.5 数值模拟方案

选用动力显式分析Abaqus/Explicit求解,能够实现高精度仿真计算,可以处理复杂的非线性问题。设定模拟时间为1s,仿真试验从材料类型、钻头转速和轴压三个方面研究钻进位移和钻进速度的变化规律,制定仿真方案如下:

1)分别钻进磁铁矿、赤铁矿、白云岩及板岩4种矿岩材料。

2)采用控制变量法,设置2组钻进参数的仿真试验。设置轴压为80kN,逐级改变钻头转速为30、45、60、75r/min;设置钻头转速为30r/min,逐级改变轴压为80、160、240、320kN。

3)结合仿真计算的后处理结果,研究钻进工况恒定,钻进不同矿岩和钻进工况改变,钻进同种矿岩,钻进位移和钻进速度的变化规律。


1.6 结果与分析

1.6.1 轴压、钻头转速恒定,钻进不同矿岩

轴压、钻头转速恒定,轴压为80kN,钻头转速为30r/min,钻进4种矿岩(磁铁矿、赤铁矿、白云岩、板岩),结果如图3、图4所示。牙轮钻头在轴压和钻杆旋转扭矩的作用下,切削齿交替接触孔底,压碎并咬入岩石,产生一定的滑动而剪切岩石。由图3、图4可知,钻进初始阶段0~0.2s为牙轮钻头压入矿岩的过程,相同时间内钻进位移存在差异;0.2s至结束,牙轮钻头钻进不同矿岩时的位移-时间曲线斜率较初始阶段有所降低,钻进速度差异更加明显。

9.png

图3 轴压、钻头转速恒定,钻进不同矿岩的位移-时间曲线

10.png

图4 轴压、钻头转速恒定,钻进不同矿岩的速度-时间曲线

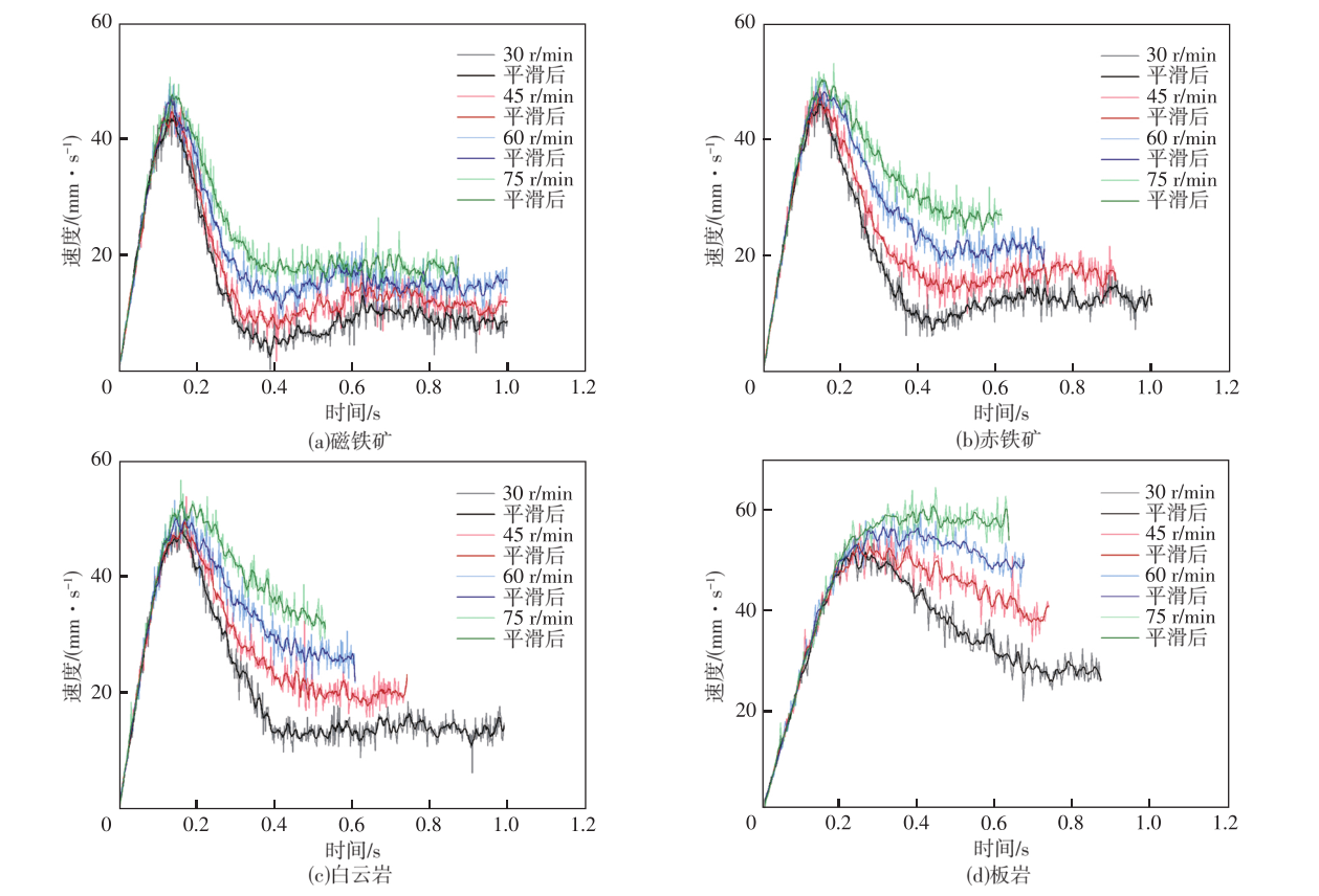
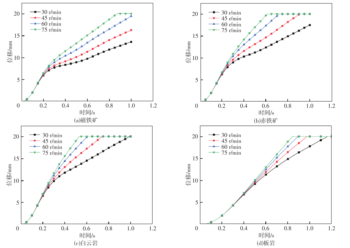
1.6.2 轴压恒定、钻头转速改变,钻进不同矿岩

轴压恒定为80kN,钻头转速逐级改变为30、45、60、75r/min,钻进4种矿岩(磁铁矿、赤铁矿、白云岩、板岩),结果如图5、图6所示。钻进矿岩时,位移-时间曲线存在“进尺台阶”现象,与马德坤、李琴等研究结果一致。由图5可知,在矿岩硬且钻头转速低的情况下,该现象较明显。

11.png

图5 轴压恒定,钻头转速改变,钻进不同矿岩的位移-时间曲线

12.png

图6 轴压恒定,钻头转速改变,钻进不同矿岩的速度-时间曲线

1.6.3 钻头转速恒定、轴压改变,钻进不同矿岩

钻头转速恒定为30r/min,钻头转速逐级改变为80、160、240、320kN,钻进4种矿岩(磁铁矿、赤铁矿、白云岩、板岩),结果如图7、图8所示。钻进矿岩时,位移-时间曲线“进尺台阶”现象随轴压的增大而减弱,与谢志江等研究结果一致,在矿岩硬、轴压低的情况下,该现象较明显。牙轮在旋转过程中通过轴压冲击、压入矿岩并产生剪切破碎矿岩。在钻进硬岩时,增大轴压可以提高比压,使得牙齿压入矿岩,为剪切破碎创造条件,从而提高破岩效率。

13.png

图7 钻头转速恒定,轴压改变,钻进不同矿岩的位移-时间曲线

14.png

图8 钻头转速恒定,轴压改变,钻进不同矿岩的速度-时间曲线



2 现场钻进试验

某露天铁矿位于内蒙古自治区西北部,主要采用KY310A型牙轮钻机进行钻孔作业。本文建立矿用牙轮钻机随钻采集系统,采集现场钻进试验数据,将仿真结果与现场试验结果进行对比分析,验证随钻测量系统的可靠性。


2.1 牙轮钻机随钻测量系统

系统主要功能是实现牙轮钻机钻进参数采集与监测,具体功能如下:1)实时采集钻机钻进参数:钻进速度、钻杆转速、轴压、扭矩等;2)集成各采集模块,通过车载终端设备实时显示监测信息;3)设计数据库、服务器端程序及客户端程序,将监测信息实时上传到云服务器数据库,远程客户端可从服务器端实时获取钻机参数信息。

牙轮钻机随钻采集系统工作原理如图9所示,将随钻采集系统安装在牙轮钻机上,如图10所示,采集钻进试验数据。

15.png

图9 牙轮钻机随钻采集系统架构

16.png

图10 牙轮钻机随钻采集系统


2.2 现场试验方案

利用牙轮钻机随钻采集系统,采集钻进数据,研究钻进速度的变化规律,制定试验方案如下:

1)依据内蒙古某矿区主要矿岩分布情况,分别钻进以磁铁矿、赤铁矿、白云岩及板岩为主要分布的4类作业区域。

2)设置轴压为80kN,钻头转速为30r/min,在以磁铁矿、赤铁矿、白云岩及板岩为主要分布的作业区域分别钻进4个炮孔。

3)结合仿真计算的后处理结果,对照研究钻进不同矿岩时钻进速度变化规律及验证露天矿用牙轮钻机随钻采集系统的可靠性。


2.3 结果与分析

对现场试验结果进行平滑、归一化处理后,如图11所示。结果表明:现场试验的钻进速度变化趋势与仿真变化趋势基本一致,钻进速度在不同岩性矿岩具有显著区分,可作为岩性识别的有效指标;验证了随钻测量系统可以实现实时采集监测牙轮钻机钻进参数,具有较强的可靠性。0~150s内,钻进速度因下杆至钻头与待钻区域表面接触而快速升高,而后因钻头旋转与待钻区域表面进行切削,递减至0.0~0.4钻进速度区间;150~400s内,钻进速度在不同岩性矿岩的响应区分度显著,v磁铁矿>v赤铁矿>v白云岩>v板岩;400~550s内,钻进速度在磁铁矿、赤铁矿及板岩的响应仍具有显著区分,但钻进速度在白云岩的响应出现降低波动,该现象与矿岩分布不均及各向异性相关。初始快速接触矿岩表面阶段,钻进速度逐渐升高;在轴压和钻杆旋转扭矩的作用下,切削齿交替接触孔底,压碎并咬入矿岩,速度逐渐降低至稳定区间钻进,平均钻进速度:为0.06、为0.10、为0.16、为0.27,与张建平对磁铁矿、赤铁矿、白云岩及板岩现场测定的平均穿孔速度变化规律一致。

17.png

图11 钻进不同矿岩的速度-时间曲线



3 结论

炮孔钻孔作业时,钻进参数随工况和矿岩岩性变化,本文利用Abaqus有限元仿真软件对炮孔破岩钻进进行数值模拟,结合现场试验的方法,获得如下结论:

1)通过破岩钻进数值模拟:轴压、钻头转速恒定时,钻进速度在不同岩性矿岩的响应不同:矿岩强度越大,钻进速度越小,相同时间内钻进位移变化越平缓。相同岩性条件下,增加轴压和钻头回转速度,可以有效提高钻进效率。

2)通过现场试验表明:轴压、钻头转速恒定时,钻进速度在不同岩性矿岩具有显著区分,可作为岩性识别的有效指标;现场钻进速度曲线与仿真钻进速度曲线变化趋势一致,验证了牙轮钻机随钻测量系统具有一定的可靠性。

3)研究仅考虑了均质、各向同性,未考虑矿岩各向异性及节理裂隙等,因此需进一步研究钻进参数在具有其他关键特征矿岩的钻进响应规律。

4)综上所述,本文研究方法与结果能够为矿用牙轮钻机随钻测量系统、钻速控制优化及随钻岩性识别等研究,提供一定理论依据与技术支持。


  • 行业动态

  • 成果展示